题目内容
求:(1)此时弹簧伸长量多大?绳子张力多大?
(2)将线突然烧断瞬间两球加速度各多大?
【答案】分析:(1)B球绕OO′做匀速圆周运动,靠弹簧的弹力提供向心力,求出弹簧的弹力,根据胡克定律即可得出弹簧的伸长量.A球在水平方向上受绳子的拉力和弹簧的弹力,两个力合力提供A球做圆周运动的向心力,从而求出绳子的拉力.
(2)绳子突然烧断的瞬间,绳子拉力立即消失,弹簧的弹力来不及发生变化,根据牛顿第二定律分别求出两球的合力,从而得出两球的加速度.
解答:解:(1)对B球有:
,
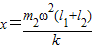
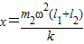
又根据胡克定律得:F=kx
所以
对A球有:T-F=
所以
故弹簧的伸长量为
,绳子的张力为
.
(2)烧断细绳的瞬间,拉力T=0,弹力F不变
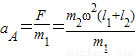
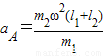
根据牛顿第二定律,对A球有:
对B球有:
细绳烧断的瞬间两球的加速度分别为:
,
.
点评:解决本题的关键知道匀速圆周运动的向心力靠合力提供,以及知道在烧断细绳的瞬间,拉力立即消失,弹簧的弹力来不及改变,烧断细绳的前后瞬间弹力不变.
(2)绳子突然烧断的瞬间,绳子拉力立即消失,弹簧的弹力来不及发生变化,根据牛顿第二定律分别求出两球的合力,从而得出两球的加速度.
解答:解:(1)对B球有:
又根据胡克定律得:F=kx
所以
对A球有:T-F=
所以
故弹簧的伸长量为
(2)烧断细绳的瞬间,拉力T=0,弹力F不变
根据牛顿第二定律,对A球有:
对B球有:
细绳烧断的瞬间两球的加速度分别为:
点评:解决本题的关键知道匀速圆周运动的向心力靠合力提供,以及知道在烧断细绳的瞬间,拉力立即消失,弹簧的弹力来不及改变,烧断细绳的前后瞬间弹力不变.
练习册系列答案
相关题目