ÌâÄ¿ÄÚÈÝ

ÓÐÒ»ÅÚÊúÖ±ÏòÉÏ·¢ÉäÅÚµ¯£¬ÅÚµ¯µÄÖÊÁ¿ÎªM£½6.0 kg(ÄÚº¬Õ¨Ò©µÄÖÊÁ¿¿ÉÒÔºöÂÔ²»¼Æ)£¬Éä³öµÄ³õËÙ¶Èv0£½60 m/s£®µ±ÅÚµ¯µ½´ï×î¸ßµãʱ±¬Õ¨ÎªÑØË®Æ½·½ÏòÔ˶¯µÄÁ½Æ¬£¬ÆäÖÐһƬÖÊÁ¿Îªm£½4.0 kg£®ÏÖÒªÇóÕâһƬ²»ÄÜÂäµ½ÒÔ·¢ÉäµãΪԲÐÄ¡¢ÒÔR£½600 mΪ°ë¾¶µÄÔ²ÖÜ·¶Î§ÄÚ£¬Ôò¸Õ±¬Õ¨ÍêʱÁ½µ¯Æ¬µÄ×ܶ¯ÄÜÖÁÉÙ¶à´ó£¿(g£½10 m/s2£¬ºöÂÔ¿ÕÆø×èÁ¦)

´ð°¸£º
½âÎö£º

¡¡¡¡½â£ºÉèÅÚµ¯ÉÏÉýµ½´ï×î¸ßµãµÄ¸ß¶ÈΪH£¬¸ù¾ÝÔȱäËÙÖ±ÏßÔ˶¯¹æÂÉ£¬ÓÐ

¡¡¡¡(2·Ö)

¡¡¡¡ÉèÖÊÁ¿ÎªmµÄµ¯Æ¬¸Õ±¬Õ¨ºóµÄËÙ¶ÈΪ£¬ÁíÒ»¿éµÄËÙ¶ÈΪ£¬¸ù¾Ý¶¯Á¿Êغ㶨ÂÉ£¬ÓÐ(2·Ö)

¡¡¡¡ÉèÖÊÁ¿ÎªµÄµ¯Æ¬Ô˶¯µÄʱ¼äΪ£¬¸ù¾ÝƽÅ×Ô˶¯¹æÂÉ£¬ÓÐ

¡¡¡¡(4·Ö)

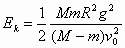
¡¡¡¡ÅÚµ¯¸Õ±¬Õ¨ºó£¬Á½µ¯Æ¬µÄ×ܶ¯ÄÜ

¡¡¡¡(2·Ö)

¡¡¡¡½âÒÔÉϸ÷ʽµÃ(1·Ö)

¡¡¡¡´úÈëÊýÖµµÃJ(1·Ö)


Á·Ï°²áϵÁдð°¸
Ïà¹ØÌâÄ¿

Î¥·¨ºÍ²»Á¼ÐÅÏ¢¾Ù±¨µç»°£º027-86699610 ¾Ù±¨ÓÊÏ䣺58377363@163.com

¾«Ó¢¼Ò½ÌÍø