题目内容
一质量为m、电荷量为q的粒子,在匀强电场中只受电场力作用,沿电场线方向从a点出发,由静止开始作匀加速运动.当粒子运动到b点时速度达到v,a、b两点的距离为d,试求:(1)匀强电场的场强大小;
(2)a、b两点间的电势差.
【答案】分析:(1)粒子只受电场力,根据动能定理直接列式求解即可;
(2)根据电场强度与电势差关系公式直接求解即可.
解答:解:(1)设匀强电场的场强为E,由动能定理,得到
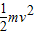
Eqd=
所以
E=
即匀强电场的场强大小为
.
(2)设a、b两点间的电势差为Uab,由E=
,得到

即a、b两点间的电势差为
.
点评:本题关键是对粒子受力分析后直接根据动能定理和电势差与场强的关系公式列式求解.
(2)根据电场强度与电势差关系公式直接求解即可.
解答:解:(1)设匀强电场的场强为E,由动能定理,得到
Eqd=
所以
E=
即匀强电场的场强大小为
(2)设a、b两点间的电势差为Uab,由E=
即a、b两点间的电势差为
点评:本题关键是对粒子受力分析后直接根据动能定理和电势差与场强的关系公式列式求解.
练习册系列答案
相关题目
| 2μmg |
| q |
| A、适当选取初速度v0,小物块有可能静止在电场区内 | ||
| B、无论怎样选择初速度v0,小物块都不可能静止在电场区内 | ||
C、要使小物块穿过电场区域,初速度v0的大小应大于2
| ||
| D、若小物块能穿过电场区域,小物块在穿过电场区的过程中,机械能减少3μmgL |