题目内容
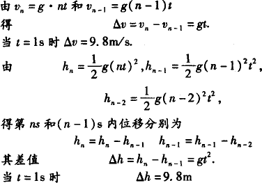
从高处自由落下的物体,它在第n s末的速度比第(n-1)s末的速度大________m/s;它在第n s的位移比第(n-1)s内的位移大________m.
答案:9.8,9.8
解析:
解析:
|
|
练习册系列答案
相关题目
题目内容
从高处自由落下的物体,它在第n s末的速度比第(n-1)s末的速度大________m/s;它在第n s的位移比第(n-1)s内的位移大________m.
|
|