题目内容

据观测,某行星外围有一模糊不清的环,为了判断该环是连续物还是卫星群,又测出了环中各层的线速度v的大小与该层至行星中心的距离R,以下判断中正确的是

A.若v与R成正比,则环是连续物

B.若v与R成反比,则环是连续物

C.若v2与R成正比,则环是卫星群

D.若v2与R成反比,则环是卫星群

答案:AD
解析:

  若环为连续物,则角速度ω一定,由v=Rω知,v与R成正比,所以,A选项正确.

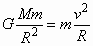
  若环为卫星群,由得v=,所以,v2与R成反比,D选项正确.


练习册系列答案
相关题目

违法和不良信息举报电话:027-86699610 举报邮箱:58377363@163.com

精英家教网