题目内容
两个完全相同的物块a、b质量为m=0.8kg,在水平面上以相同的初速度从同一位置开始运动,图中的两条直线表示物体受到水平拉力F作用和不受拉力作用的v-t图象,求:(1)物体a受到的摩擦力大小;
(2)物块b所受拉力F的大小;
(3)8s末a、b间的距离.
【答案】分析:(1)由图象可求得物体的加速度,由牛顿第二定律可求得合力,而a物体只受摩擦力,则合力即为摩擦力;
(2)由图象可求得物体的加速度,由牛顿第二定律可求得b合力,因摩擦力与a的相同,即可求得拉力;
(3)由位移与速度的关系可分别求得ab物体的位移,则可求得8s末两者的距离.
解答:解:(1)设a物块的加速度大小为a1,由v-t图可得
;
由牛顿第二定律可得:f=ma1=1.2N;
(2)设b物块的加速度大小为a2,由v-t图可得:
;
F-f=ma2
得F=1.8N
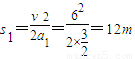
(3)设a、b物体在8s内的位移分别为s1和s2.

8s末a、b间的距离s=s2-s1=60m
点评:图象在物理学中具有非常重要的地位,本题将图象与牛顿第二定律相结合,是道好题.
(2)由图象可求得物体的加速度,由牛顿第二定律可求得b合力,因摩擦力与a的相同,即可求得拉力;
(3)由位移与速度的关系可分别求得ab物体的位移,则可求得8s末两者的距离.
解答:解:(1)设a物块的加速度大小为a1,由v-t图可得
由牛顿第二定律可得:f=ma1=1.2N;
(2)设b物块的加速度大小为a2,由v-t图可得:
F-f=ma2
得F=1.8N
(3)设a、b物体在8s内的位移分别为s1和s2.
8s末a、b间的距离s=s2-s1=60m
点评:图象在物理学中具有非常重要的地位,本题将图象与牛顿第二定律相结合,是道好题.
练习册系列答案
相关题目