题目内容
A.电压表的示数始终小于U
B.电流表的示数始终大于I
C.电压表的示数先增大后减小
D.电流表的示数先减小后增大
【答案】分析:由图可知,R1与滑动变阻器的上端串联后与滑动变阻器的下端并联,并联电路再与R2串联;分析滑片移动时并联部分电阻的变化,由欧姆定律可得出电路中电流的变化及电压表的变化;对R1支路由欧姆定律可得出电流表示数的变化.
解答:解:由题意可知,当滑片向上移动时,并联部分的总电阻先增大后减小;则外部的总电阻先增大后减小;
由闭合电路的欧姆定律可知,干路电流先减小后增大,故内电压先减小后增大,则路端电压先增大后减小;即电压表的示数先增大后减小,故C正确;
当并联两支路电阻相等时,电路中总电阻最小,此时路端电压最大,故A错误;
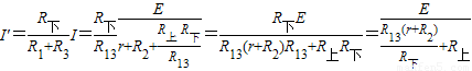
电流表与R1串联,在移动中设滑动变阻器的全职电阻为R3,从滑片P到最上面部分电阻记为R上,下面部分的电阻记为R下,则电流表的示数即流过R1的电流值
其中R13=R1+R3是定值,当滑片P由中点向上移动的全过程中,R上不断减小,R下不断增大,I1不断增大,即电流表的示数不断增大,且始终大于I,选项B正确,D错误;
故选BC.
点评:本题为闭合电路的欧姆定律的动态分析类题目,此类问题可先分析外电路中的电阻,再分析电流或内电阻消耗的电压,最后再分析各局部电路;在分析中要灵活应用串并联电路的规律,必要时可将与电源串联的电阻当作内电阻处理.
解答:解:由题意可知,当滑片向上移动时,并联部分的总电阻先增大后减小;则外部的总电阻先增大后减小;
由闭合电路的欧姆定律可知,干路电流先减小后增大,故内电压先减小后增大,则路端电压先增大后减小;即电压表的示数先增大后减小,故C正确;
当并联两支路电阻相等时,电路中总电阻最小,此时路端电压最大,故A错误;
电流表与R1串联,在移动中设滑动变阻器的全职电阻为R3,从滑片P到最上面部分电阻记为R上,下面部分的电阻记为R下,则电流表的示数即流过R1的电流值
其中R13=R1+R3是定值,当滑片P由中点向上移动的全过程中,R上不断减小,R下不断增大,I1不断增大,即电流表的示数不断增大,且始终大于I,选项B正确,D错误;
故选BC.
点评:本题为闭合电路的欧姆定律的动态分析类题目,此类问题可先分析外电路中的电阻,再分析电流或内电阻消耗的电压,最后再分析各局部电路;在分析中要灵活应用串并联电路的规律,必要时可将与电源串联的电阻当作内电阻处理.
练习册系列答案
相关题目
| A、电压表的示数增大 | B、电流表的示数增大 | C、R1消耗的电功率增大 | D、R2消耗的电功率增大 |