题目内容

如图所示,质量为为m、电量为q的带电粒子,经电压为U加速,又经磁感应强度为B的匀强磁场后落到图中D点,求:

(1)带电粒子在A点垂直射入磁场区域时的速率v;

(2)A、D两点间的距离l

答案:
解析:

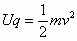
  解:(1)带电粒子在电场中直线加速,电场力做功,动能增加,由动能定理可知,

  

  带电粒子垂直射入磁场区域时的速率为

  

  (2)带电粒子在匀强磁场中做匀速圆周运动,洛伦兹力提供向心力

  

  解得A、D两点间的距离


练习册系列答案
相关题目

违法和不良信息举报电话:027-86699610 举报邮箱:58377363@163.com

精英家教网