题目内容
把质量为0.5kg的物体从10m高处以30°角斜向上方抛出,如图,初速度是v=5m/s.不计空气阻力.求物体落地时的速度是多大?(g=10.0m/s2.)
【答案】分析:物体在运动的过程中只有重力做功,机械能守恒.根据机械能守恒求出落地的速度大小.
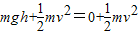
解答:解:因为只有重力做功,机械能守恒.规定地面为0势能平面.

代入数据,得v=15m/s.
故物体落地的速度大小为15m/s.
点评:解决本题的关键掌握机械能守恒的条件,以及知道运用机械能守恒时不需考虑速度的方向.
解答:解:因为只有重力做功,机械能守恒.规定地面为0势能平面.
代入数据,得v=15m/s.
故物体落地的速度大小为15m/s.
点评:解决本题的关键掌握机械能守恒的条件,以及知道运用机械能守恒时不需考虑速度的方向.
练习册系列答案
相关题目
运动员用200N的力把质量为0.5kg的球抛出,球在水平路面上滚动30m,则该学生对球做的功是( )
| A、6000J | B、150J | C、3000J | D、无法确定 |