ÌâÄ¿ÄÚÈÝ

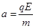
 ÔÚÈçͼËùʾµÄ×ø±êϵÖУ¬µÄÇøÓòÄÚ´æÔÚ×ÅÑØÖáÕý·½Ïò¡¢³¡Ç¿ÎªEµÄÔÈÇ¿µç³¡£¬µÄÇøÓòÄÚ´æÔÚ×Å´¹Ö±Ö½ÃæÏòÀï¡¢´Å¸ÐӦǿ¶ÈΪBµÄÔÈÇ¿´Å³¡¡£Ò»´øµçÁ£×Ó´ÓÖáÉϵĵãÒÔÑØÖáÕý·½ÏòµÄ³õËÙ¶ÈÉä³ö£¬Ç¡ºÃÄÜͨ¹ýÖáÉϵĵ㡣¼ºÖª´øµçÁ£×ÓµÄÖÊÁ¿Îª£¬´øµçÁ¿Îª¡£¡¢¡¢¾ù´óÓÚ0¡£²»¼ÆÖØÁ¦µÄÓ°Ïì¡£

(1)ÈôÁ£×ÓÖ»Ôڵ糡×÷ÓÃÏÂÖ±½Óµ½Dµã£¬ÇóÁ£×Ó³õËÙ¶È´óС£»

(2)ÈôÁ£×ÓÔÚµÚ¶þ´Î¾­¹ýÖáʱµ½Dµã£¬ÇóÁ£×Ó³õËÙ¶È´óС

(3)ÈôÁ£×ÓÔڴӵ糡½øÈë´Å³¡Ê±µ½Dµã£¬ÇóÁ£×Ó³õËÙ¶È´óС£»

 

¡¾´ð°¸¡¿

£¨1£©£»£¨2£©£»£¨3£©

¡¾½âÎö¡¿

ÊÔÌâ·ÖÎö£¨1£©Á£×ÓÖ»Ôڵ糡×÷ÓÃÏÂÖ±½Óµ½´ïDµã        

ÉèÁ£×ÓÔڵ糡ÖÐÔ˶¯µÄʱ¼äΪ£¬Á£×ÓÑØ·½Ïò×öÔÈËÙÖ±ÏßÔ˶¯£¬Ôò ¢Ù  £¨1·Ö£©

ÑØy·½Ïò×ö³õËÙ¶ÈΪ0µÄÔȼÓËÙÖ±ÏßÔ˶¯£¬

Ôò     ¢Ú  £¨1·Ö£©     

¼ÓËÙ¶È   ¢Û£¨1·Ö£©

Á£×ÓÖ»Ôڵ糡×÷ÓÃÏÂÖ±½Óµ½´ïDµãµÄÌõ¼þΪ    ¢Ü  £¨1·Ö£©

½â¢Ù¢Ú¢Û¢ÜµÃ      £¨2·Ö£©

£¨2£©Á£×ÓÔÚµÚ¶þ´Î¾­¹ýxÖáʱµ½´ïDµã£¬Æä¹ì¼£ÈçͼËùʾ¡£     

ÉèÁ£×Ó½øÈë´Å³¡µÄËÙ¶È´óСΪ£¬ÓëÖáµÄ¼Ð½ÇΪ£¬¹ì¼£°ë¾¶ÎªR£¬Ôò  

  ¢Ý  £¨1·Ö£©  

   ¢Þ£¨2·Ö£©

Á£×ÓµÚ¶þ´Î¾­¹ýÖáʱµ½´ïDµãµÄÌõ¼þΪ ¢ß£¨2·Ö£©

 

½â¢Ù¢Ú¢Û¢Ý¢Þ¢ßµÃ    £¨2·Ö£©

£¨3£©Á£×ÓÔڴӵ糡½øÈë´Å³¡Ê±µ½´ïDµã£¬Æä¹ì¼£ÈçͼËùʾ¡£

¸ù¾ÝÔ˶¯¶Ô³ÆÐÔ¿ÉÖª        £¨1·Ö£©

Á£×ÓÔڴӵ糡½øÈë´Å³¡Ê±µ½´ïDµãµÄÌõ¼þΪ ¢à£¨1·Ö£©

ÆäÖÐΪ·Ç¸ºÕûÊý¡£        ½â¢Ù¢Ú¢Û¢Ý¢Þ¢àµÃ   £¨2·Ö£©

¿¼µã£º´øµçÁ£×ÓÔÚµç´Å³¡ÖеÄÔ˶¯

 

Á·Ï°²áϵÁдð°¸
Ïà¹ØÌâÄ¿
£¨1£©ÔÚÓõ¥°Ú²â¶¨ÖØÁ¦¼ÓËٶȵÄʵÑéÖУ¬ÏÂÁдëÊ©ÖбØÒªµÄ»ò×ö·¨ÕýÈ·µÄÊÇ
BC
BC
£®£¨Ñ¡ÌîÏÂÁдëʩǰµÄÐòºÅ£©
A£®ÎªÁ˱ãÓÚ¼ÆÊ±¹Û²ì£¬µ¥°ÚµÄ°Ú½ÇÓ¦¾¡Á¿´óЩ
B£®°ÚÇòӦѡÔñÃܶȽϴóµÄʵÐĽðÊôСÇò
C£®ÓÃÍ£±í²âÁ¿ÖÜÆÚʱ£¬Ó¦²âÁ¿µ¥°Ú20¡«30´ÎÈ«Õñ¶¯µÄʱ¼ä£¬È»ºó¼ÆËãÖÜÆÚ£¬¶ø²»ÄܰÑÖ»²âÒ»´ÎÈ«Õñ¶¯Ê±¼äµ±×÷ÖÜÆÚ
D£®½«°ÚÇòºÍ°ÚÏ߯½·ÅÔÚ×ÀÃæÉÏ£¬À­Ö±ºóÓÃÃ׳߲â³ö°ÚÇòÇòÐĵ½°ÚÏßijµãO¼äµÄ³¤¶È×÷Ϊ°Ú³¤£¬È»ºó½«Oµã×÷ΪÐüµã
£¨2£©Ä³Í¬Ñ§ÔÚÒ»´ÎÓõ¥°Ú²âÖØÁ¦¼ÓËٶȵÄʵÑéÖУ¬²âÁ¿5ÖÖ²»Í¬°Ú³¤Óëµ¥°ÚµÄÕñ¶¯ÖÜÆÚµÄ¶ÔÓ¦Çé¿ö£¬²¢½«¼Ç¼µÄ½á¹ûÃè»æÔÚÈçͼËùʾµÄ×ø±êϵÖУ®Í¼Öи÷×ø±êµãµÄ±êºÅ·Ö±ð¶ÔӦʵÑéÖÐ5ÖÖ²»Í¬°Ú³¤µÄÇé¿ö£®ÔÚ´¦ÀíÊý¾Ýʱ£¬¸ÃͬѧʵÑéÖеĵÚ
4
4
Êý¾ÝµãÓ¦µ±ÉáÆú£®»­³ö¸Ãͬѧ¼Ç¼µÄT2-lͼÏߣ®ÇóÖØÁ¦¼ÓËÙ¶Èʱ£¬ËûÊ×ÏÈÇó³öͼÏßµÄбÂÊk£¬ÔòÓÃбÂÊkÇóÖØÁ¦¼ÓËٶȵıí´ïʽΪg=
4¦Ð2
k
£®
4¦Ð2
k
£®
£®
£¨3£©Óõ¥°Ú²â¶¨ÖØÁ¦¼ÓËٶȵÄʵÑéÖУ¬Èô²âµÃgֵƫС£¬¿ÉÄÜÊÇÓÉÓÚ
AC
AC

A£®¼ÆËã°Ú³¤Ê±£¬Ö»¿¼ÂÇÐüÏß³¤£¬Î´¼ÓСÇò°ë¾¶
B£®¼ÆËã°Ú³¤Ê±£¬½«ÐüÏß³¤¼ÓÉÏСÇòÖ±¾¶
C£®²âÁ¿ÖÜÆÚʱ£¬½«n+1´ÎÈ«Õñ¶¯Îó¼Ç³Én´ÎÈ«Õñ¶¯
D£®µ¥°ÚÕñ¶¯Ê±£¬Õñ·ù½ÏС£®
ijÑо¿ÐÔѧϰС×é×ö̽¾¿¡°ÏðÆ¤½î×ö¹¦ºÍÎïÌåËٶȱ仯µÄ¹ØÏµ¡±µÄʵÑ飬ͼÖÐÊÇС³µÔÚÒ»ÌõÏðÆ¤½î×÷ÓÃϵ¯³ö£¬ÑØÄ¾°å»¬ÐеÄÇéÐΣ®Õâʱ£¬ÏðÆ¤½î¶ÔС³µ×öµÄ¹¦¼ÇΪW£®µ±ÎÒÃǰÑ2Ìõ¡¢3Ìõ¡­ÍêÈ«ÏàͬµÄÏðÆ¤½î²¢ÔÚÒ»Æð½øÐеÚ2´Î¡¢µÚ3´Î¡­ÊµÑéʱ£¬Ã¿´ÎС³µ¶¼À­É쵽ͬһλÖÃÊÍ·Å£®Ð¡³µÃ¿´ÎʵÑéÖлñµÃµÄËÙ¶ÈÓÉ´òµã¼ÆÊ±Æ÷Ëù´òµãµÄÖ½´ø²â³ö£®
¾«Ó¢¼Ò½ÌÍø
£¨1£©ÊµÑéʱΪÁËʹС³µÖ»ÔÚÏðÆ¤½î×÷ÓÃÏÂÔ˶¯£¬Ó¦²ÉÈ¡µÄ´ëÊ©ÊÇ
 
£»
£¨2£©Ã¿´ÎʵÑéµÃµ½µÄÖ½´øÉϵĵ㲢²»¶¼ÊǾùÔȵģ¬ÎªÁ˲âÁ¿Ð¡³µ»ñµÃµÄËÙ¶È£¬Ó¦Ñ¡ÓÃÖ½´øµÄ
 
²¿·Ö½øÐвâÁ¿£»
£¨3£©ÏÂÃæÊDZ¾ÊµÑéµÄÊý¾Ý¼Ç¼±í£¬Ç뽫±í¸ñÖÐδÍê³ÉµÄÊý¾ÝÌîдÔÚ¶ÔÓ¦µÄλÖã»
      Êý¾Ý
ÎïÀíÁ¿
ÏðÆ¤½î
×öµÄ¹¦
10¸ö¼ä¾àµÄ¾àÀëx£¨m£© 10¸ö¼ä¾àµÄʱ¼äT£¨s£© С³µ»ñµÃµÄËÙ¶Èvn С³µËÙ¶ÈµÄÆ½·½v
 
2
n
1 W 0.200 0.2 1.00 1.00
2 2W 0.280 0.2
3 3W 0.300 0.2 1.50 2.25
4 4W 0.400 0.2 2.00 4.00
5 5W 0.450 0.2 2.25 5.06
£¨4£©´ÓÀíÂÛÉϽ²£¬ÏðÆ¤½î×öµÄ¹¦WnºÍÎïÌåËÙ¶Èvn±ä»¯µÄ¹ØÏµÓ¦ÊÇWn¡Ø
 
£¬ÇëÄã¸ù¾Ý±íÖвⶨµÄÊý¾ÝÔÚÈçͼËùʾµÄ×ø±êϵÖÐ×÷³öÏàÓ¦µÄͼÏóÑéÖ¤ÀíÂÛµÄÕýÈ·ÐÔ£®

Î¥·¨ºÍ²»Á¼ÐÅÏ¢¾Ù±¨µç»°£º027-86699610 ¾Ù±¨ÓÊÏ䣺58377363@163.com

¾«Ó¢¼Ò½ÌÍø