题目内容
如图所示,参加某电视台娱乐节目的选手从较高的平台上以水平速度跃出后,落在水平传送带上.已知平台与传送带的高度差H=1.8m,水池宽度s=1.2m,传送带AB间的距离L=16.6m.由于传送带足够粗糙,选手落到传送带上后瞬间相对传送带静止,经过△t=1.0s反应时间后,立即以水平向右的加速度a=2m/s2跑至传送带最右端.若传送带以v=2m/s的恒定速度向左运动,若要选手不致落入水池,求选手从高台上跃出的最小水平速度.(计算结果保留2位有效数字)
【答案】分析:选手平抛运动到传送带上后,在反应时间内跟传送带一起向左做匀速,然后以2m/s2的加速度向左做匀减速直线运动到0,如果在这段时间内未掉入水中,则不会落入水中,以后向右做初速度为0的匀加速直线运动.
解答:解:设水平跃出的速度为v1,落到传送带上1.0 s反应时间内向左发生的位移大小为:
s1=v△t=2 m
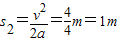
然后向左减速至速度为零,这段时间内的位移
.
平抛运动的位移s=s1+s2+s=4.2m
平抛运动的时间
则平抛运动的初速度
.
答:选手从高台上跃出的最小水平速度为7.0m/s.
点评:解决本题的关键分析出选手的运动情况,然后根据平抛运动和运动学公式求解.
解答:解:设水平跃出的速度为v1,落到传送带上1.0 s反应时间内向左发生的位移大小为:
s1=v△t=2 m
然后向左减速至速度为零,这段时间内的位移
平抛运动的位移s=s1+s2+s=4.2m
平抛运动的时间
则平抛运动的初速度
答:选手从高台上跃出的最小水平速度为7.0m/s.
点评:解决本题的关键分析出选手的运动情况,然后根据平抛运动和运动学公式求解.
练习册系列答案
相关题目