题目内容

(16分)在一次国际城市运动会中,要求运动员从高为H的平台上A点由静止出发,沿着动摩擦因数为的滑道向下运动到B点后水平滑出,最后落在水池中。设滑道的水平距离为L,B点的高度h可由运动员自由调节(取g=10m/s2)。求:
(1)运动员到达B点的速度与高度h的关系;
(2)运动员要达到最大水平运动距离,B点的高度h应调为多大?对应的最大水平距离为多少?
(3)若图中H=4m,L=5m,动摩擦因数=0.2,则水平运动距离要达到7m,h值应为多少?

(1)
(2)
(3) 

解析(1)设斜面长度,斜面倾角为,根据动能定理得
    ①
即       ②
   ③
(2)根据平抛运动公式
         ④
         ⑤
由③④⑤式得      ⑥
由⑥式可得,当


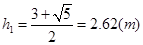
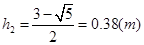
(3)在⑥式中令x=2m,H=4m,L=5m,=0.2
则可得到: -+3h-1=0
求出  

练习册系列答案
相关题目

违法和不良信息举报电话:027-86699610 举报邮箱:58377363@163.com

精英家教网