ÌâÄ¿ÄÚÈÝ

(12·Ö)Èçͼ×ã¹»³¤µÄ¹â»¬Ð±ÃæÓëË®Æ½ÃæµÄ¼Ð½ÇΪ=30o£¬¿Õ¼äÖÐ×ÔÉ϶øÏÂÒÀ´Î·Ö²¼×Å´¹Ö±Ð±ÃæÏòϵÄÔÈÇ¿´Å³¡ÇøÓòI¡¢¢ò¡¢¢ó£¬ÏàÁÚÁ½¸ö´Å³¡µÄ¼ä¾à¾ùΪd=0.5m¡£Ò»±ß³¤L=0.1m¡¢ÖÊÁ¿m=0.5kg¡¢µç×èR=0.3µÄÕý·½Ðε¼Ïß¿ò·ÅÔÚÐ±ÃæµÄ¶¥¶Ë£¬µ¼Ïß¿òµÄϱ߾àÀë´Å³¡IµÄÉϱ߽çΪdo=0.9m¡£½«µ¼Ïß¿òÓɾ²Ö¹ÊÍ·Å£¬µ¼Ïß¿òÔÈËÙ´©¹ýÿ¸ö´Å³¡ÇøÓò¡£ÒÑÖªÖØÁ¦¼ÓËÙ¶Èg=10m£¯s2£¬Çó£º

(1)µ¼Ïß¿ò½øÈë´Å³¡IʱµÄËÙ¶È£»

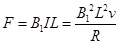
(2)´Å³¡IµÄ´Å¸ÐӦǿ¶ÈBt£»

(3)µ¼Ïß¿ò´©¹ýÈ«²¿´Å³¡ÇøÓò¹ý³ÌÖвúÉúµÄ×ܽ¹¶úÈÈ¡£

 

¡¾´ð°¸¡¿

£¨1£©£¨2£©£¨3£©

¡¾½âÎö¡¿

ÊÔÌâ·ÖÎö£º£¨1£©Ïß¿ò½øÈë´Å³¡I֮ǰ£¬Ö»ÓÐÖØÁ¦×ö¹¦£¬¸ù¾Ý¶¯Äܶ¨ÀíÓÐ

´øÈëÊý¾Ý¼ÆËãµÃ

£¨2£©Ïß¿ò½øÈë´Å³¡IµÄ¹ý³Ì£¬Ï±ßÇиî´Å¸ÐÏß²úÉú¸ÐÓ¦µç¶¯ÊÆ

¸ù¾Ý±ÕºÏ»ØÂ·Å·Ä·¶¨ÂÉ£¬Ïß¿òÖеĸÐÓ¦µçÁ÷

Ïß¿òϱßËùÊܵ½°²ÅàÁ¦

Ïß¿òÔÈËÙ´©¹ý´Å³¡ÇøÓò£¬

ÕûÀíµÃ

£¨3£©Ïß¿òÔÈËÙ´©¹ý´Å³¡ÇøÓò£¬¿Ë·þ°²ÅàÁ¦×ö¹¦£¬ÖØÁ¦ÊÆÄÜת»¯Îª½¹¶úÈÈ£¬ÄÇôÿ´©¹ýÒ»´Î´Å³¡ÇøÓò£¬²úÉúµÄ½¹¶úÈÈ

´©¹ýÈ«²¿´Å³¡ÇøÓò²úÉúµÄ½¹¶úÈÈΪ

¿¼µã£ºµç´Å¸ÐÓ¦ ¹¦ÄܹØÏµ

 

Á·Ï°²áϵÁдð°¸
Ïà¹ØÌâÄ¿

Î¥·¨ºÍ²»Á¼ÐÅÏ¢¾Ù±¨µç»°£º027-86699610 ¾Ù±¨ÓÊÏ䣺58377363@163.com

¾«Ó¢¼Ò½ÌÍø