题目内容

已知O、A、B、C为同一直线上的四点、AB间的距离为L1,BC间的距离为L2,一物体自O点由静止出发,沿此直线做匀加速运动,依次经过A、B、C三点,已知物体通过AB段与BC段所用的时间相等。求O与A的距离。

 

【答案】

【解析】

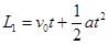
试题分析:设物体的加速度为a,到达A点的速度为v0,通过AB段和BC段所用的时间为t,则有

        

联立解得:  ,

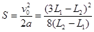
设O与A的距离为S,则有

考点:此题考查了匀变速运动的基本公式和基本规律。

 

练习册系列答案
相关题目

违法和不良信息举报电话:027-86699610 举报邮箱:58377363@163.com

精英家教网