题目内容
如图所示,理想变压器原线圈匝数为n1,两个副线圈匝数分别为n2和n3,且n1:n2:n3=4:2:1,输入电压U1=16V,R1=R2=10Ω,则输入的电流I1大小是( )A.0.4A
B.0.1A
C.0.5A
D.以上答案都不对
【答案】分析:根据变压器的匝数与电压成正比求出两个副线圈的电压,再根据输入功率等于输出功率求原线圈中的电流.
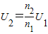
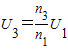
解答:解:由电压和匝数的关系知:
=8V,
=4V,由输入功率等于输出功率知:
,代入数据得I1=0.5A,故C正确.
故选C
点评:本题考查了变压器的特点,需要注意的是本题有两个副线圈,所以,电流与匝数不在成反比,应该用功率相等求电流.
解答:解:由电压和匝数的关系知:
故选C
点评:本题考查了变压器的特点,需要注意的是本题有两个副线圈,所以,电流与匝数不在成反比,应该用功率相等求电流.
练习册系列答案
相关题目
| 2 |
| A、电流频率为50HZ |
| B、伏特表的读数为24V |
| C、安培表的读数为0.5A |
| D、变压器输入功率为6W |
| A、副线圈的两端M、N的输出电压不变 | B、副线圈输电线等效电阻R上的电压增大 | C、通过灯泡L1的电流增大 | D、原线圈中的电流增大 |
| A、3mA | B、48mA | C、与R的阻值有关 | D、0 |