题目内容
(1)某同学设计了一个测量物体质量的装置,如图1所示,其中P是光滑水平轨道,A是质量为M的带夹子的已知质量金属块,Q是待测质量的物体(可以被A上的夹子固定).已知该装置的弹簧振子做简谐运动的周期为①简要写出测量方法及所需测量的物理量(用字母表示)
A.______
B.______
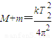
②用所测物理量和已知物理量求解待测物体质量的计算式为m=______2-
| T | 21 |
| T | 21 |
【答案】分析:(1)根据弹簧振子做简谐运动的周期公式,导出测物体质量的计算式为
,所以要测量的物理量是两个周期;
(2)摩擦力做功,砂轮的动能减小;动能的减小量等于摩擦力做的功;该砂轮转动动能Ek与角速度ω的关系式可以使用图象来处理,也可以使用数据推导.
解答:解:(1)根据弹簧振子做简谐运动的周期公式:
从公式中可以看出,物体的质量与振子的震动周期有关,故需要测量它的振动周期.测量方法及所需测量的物理量:
A、不放Q时用秒表测出振子振动20次(或50次)的时间t1,(或测出振子的周期T1),
B、将Q固定在A上,用秒表测出振子振动20次(或50次)的时间t2,(或测出振子的周期T2)
两次测量对应的公式:
①
②
联立①②式,解得:
(2)①摩擦力做功,砂轮的动能减小;动能的减小量等于摩擦力做的功,即:EK=F?S=F?N?πD
EK1=F?S=F?N1?πD=0.5J
EK2=F?S=F?N2?πD=2J
EK3=F?S3=F?N3?πD=8J
EK4=F?S4=F?N4?πD=18J
EK5=F?S5=F?N5?πD=32J
②由上述数据可以看出,该砂轮转动动能Ek与角速度ω的平方成正比;任意选取一组数据,得:
,所以:
③砂轮角速度为2.5rad/s时的动能:
转过45周,摩擦力做功:W=F?45?πD=4.5J
砂轮剩下的动能:EK=EK0-W=8J
通过上面的表格可以知道,这时的角速度是2rad/s.
故答案为:
(1)①A、不放Q时用秒表测出振子振动20次(或50次)的时间t1,(或测出振子的周期T1),
B、将Q固定在A上,用秒表测出振子振动20次(或50次)的时间t2,(或测出振子的周期T2)
②
或
(2)①0.5,2,8,18,32 ②2ω2 ③2
点评:这两个实验题目都属于创新性的题目,这类题目首先要理解实验设计的原理,然后根据实验的原理进行解答.
(2)摩擦力做功,砂轮的动能减小;动能的减小量等于摩擦力做的功;该砂轮转动动能Ek与角速度ω的关系式可以使用图象来处理,也可以使用数据推导.
解答:解:(1)根据弹簧振子做简谐运动的周期公式:
从公式中可以看出,物体的质量与振子的震动周期有关,故需要测量它的振动周期.测量方法及所需测量的物理量:
A、不放Q时用秒表测出振子振动20次(或50次)的时间t1,(或测出振子的周期T1),
B、将Q固定在A上,用秒表测出振子振动20次(或50次)的时间t2,(或测出振子的周期T2)
两次测量对应的公式:
联立①②式,解得:
(2)①摩擦力做功,砂轮的动能减小;动能的减小量等于摩擦力做的功,即:EK=F?S=F?N?πD
EK1=F?S=F?N1?πD=0.5J
EK2=F?S=F?N2?πD=2J
EK3=F?S3=F?N3?πD=8J
EK4=F?S4=F?N4?πD=18J
EK5=F?S5=F?N5?πD=32J
②由上述数据可以看出,该砂轮转动动能Ek与角速度ω的平方成正比;任意选取一组数据,得:
③砂轮角速度为2.5rad/s时的动能:
转过45周,摩擦力做功:W=F?45?πD=4.5J
砂轮剩下的动能:EK=EK0-W=8J
通过上面的表格可以知道,这时的角速度是2rad/s.
故答案为:
(1)①A、不放Q时用秒表测出振子振动20次(或50次)的时间t1,(或测出振子的周期T1),
B、将Q固定在A上,用秒表测出振子振动20次(或50次)的时间t2,(或测出振子的周期T2)
②
(2)①0.5,2,8,18,32 ②2ω2 ③2
点评:这两个实验题目都属于创新性的题目,这类题目首先要理解实验设计的原理,然后根据实验的原理进行解答.
练习册系列答案
相关题目