ÌâÄ¿ÄÚÈÝ

ijͬѧ²ÉÓ÷ü°²·¨²â¶¨Ò»¶Î×èֵԼΪ5×óÓҵĽðÊôË¿µÄµç×è¡£ÓÐÒÔÏÂÆ÷²Ä¿É¹©Ñ¡Ôñ£º£¨ÒªÇó²âÁ¿½á¹û¾¡Á¿×¼È·£©

A£®µç³Ø×飨3V£¬ÄÚ×èÔ¼1£©

B£®µçÁ÷±í£¨0¡ª3A£¬ÄÚ×èÔ¼0.025£©

C£®µçÁ÷±í£¨0¡ª0.6A£¬ÄÚ×èÔ¼0.125£©

D£®µçѹ±í£¨0¡ª3V£¬ÄÚ×èÔ¼3k£©

E£®µçѹ±í£¨0¡ª15V£¬ÄÚ×èÔ¼15k£©

F£®»¬¶¯±ä×èÆ÷£¨0¡ª20£¬¶î¶¨µçÁ÷1A£©

G£®»¬¶¯±ä×èÆ÷£¨0¡ª1000£¬¶î¶¨µçÁ÷0.3A£©

H£®¿ª¹Ø£¬µ¼Ïß

ʵÑéʱӦѡÓÃµÄÆ÷²ÄÊÇ                   £¨Ìîд¸÷Æ÷²ÄµÄ×Öĸ´úºÅ£©¡£

ÇëÔÚÏÂÃæµÄÐéÏß¿òÖл­³öʵÑéµç·ͼ¡£

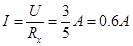
ÕâλͬѧÔÚÒ»´Î²âÁ¿Ê±£¬µçÁ÷±í¡¢µçѹ±íµÄʾÊýÈçÉÏͼËùʾ¡£ÓÉͼÖеçÁ÷±í¡¢µçѹ±íµÄ¶ÁÊý¿É¼ÆËã³ö½ðÊôË¿µÄµç×èΪ       ¡£

 

¡¾´ð°¸¡¿

ACDFH    µç·ͼÈç½âÎö   5.22

¡¾½âÎö¡¿

ÊÔÌâ·ÖÎö£ºÊµÑéʱӦѡÓÃµÄÆ÷²ÄÊǵçÔ´A£¬µçѹ±íÑ¡D,µç·ÖеĵçÁ÷×î´óֵΪ£º£¬ËùÒÔµçÁ÷±íÑ¡C£¬»¬¶¯±ä×èÆ÷Ñ¡Ôñ×èÖµ½ÏСµÄF£¬¿ª¹Ø£¬µ¼ÏßH¡£µç·ÈçÏÂͼ£º

ÓÉͼÖжÁ³öµçÁ÷0.46A£¬µçѹ2.4V,ËùÒÔµç×è

¿¼µã£º·ü°²·¨²âµç×è.

 

Á·Ï°²áϵÁдð°¸
Ïà¹ØÌâÄ¿
ijͬѧ×ö¡°²â¶¨½ðÊôµç×èÂÊ¡±µÄʵÑ飮
¢ÙÐèҪͨ¹ýʵÑéÖ±½Ó²âÁ¿µÄÎïÀíÁ¿ÓУº
¼ÓÔÚ½ðÊôË¿Á½¶ËµÄµçѹU£¬Í¨¹ý½ðÊôË¿µÄµçÁ÷I£¬½ðÊôË¿µÄ³¤¶ÈL£¬½ðÊôË¿µÄÖ±¾¶D
¼ÓÔÚ½ðÊôË¿Á½¶ËµÄµçѹU£¬Í¨¹ý½ðÊôË¿µÄµçÁ÷I£¬½ðÊôË¿µÄ³¤¶ÈL£¬½ðÊôË¿µÄÖ±¾¶D
£¨Ð´³öÃû³ÆºÍ·ûºÅ£©£®
¢ÚÕâλͬѧ²ÉÓ÷ü°²·¨²â¶¨Ò»¶Î×èֵԼΪ5¦¸×óÓҵĽðÊôË¿µÄµç×裮ÓÐÒÔÏÂÆ÷²Ä¿É¹©Ñ¡Ôñ£º£¨ÒªÇó²âÁ¿½á¹û¾¡Á¿×¼È·£©
A£®µç³Ø×飨3V£¬ÄÚ×èÔ¼1¦¸£©          B£®µçÁ÷±í£¨0-3A£¬ÄÚ×èÔ¼0.025¦¸£©
C£®µçÁ÷±í£¨0-0.6A£¬ÄÚ×èÔ¼0.125¦¸£©  D£®µçѹ±í£¨0-3V£¬ÄÚ×èÔ¼3k¦¸£©
E£®µçѹ±í£¨0-15V£¬ÄÚ×èÔ¼15k¦¸£©    F£®»¬¶¯±ä×èÆ÷£¨0-20¦¸£¬¶î¶¨µçÁ÷1A£©
G£®»¬¶¯±ä×èÆ÷£¨0-1000¦¸£¬¶î¶¨µçÁ÷0.3A£©      H£®¿ª¹Ø£¬µ¼Ïß
ʵÑéʱӦѡÓÃµÄÆ÷²ÄÊÇ
ACDFH
ACDFH
£¨Ìîд¸÷Æ÷²ÄµÄ×Öĸ´úºÅ£©£®
ÇëÔÚÏÂÃæµÄÐéÏß¿òÖл­³öʵÑéµç·ͼ£®
ÕâλͬѧÔÚÒ»´Î²âÁ¿Ê±£¬µçÁ÷±í¡¢µçѹ±íµÄʾÊýÈçͼËùʾ£®ÓÉͼÖеçÁ÷±í¡¢µçѹ±íµÄ¶ÁÊý¿É¼ÆËã³ö½ðÊôË¿µÄµç×èΪ
5.2
5.2
¦¸£®
¢ÛÓ÷ü°²·¨²â½ðÊôË¿µç×è´æÔÚϵͳÎó²î£®ÎªÁ˼õСϵͳÎó²î£¬ÓÐÈËÉè¼ÆÁËÈçͼËùʾµÄʵÑé·½°¸£®ÆäÖÐRxÊÇ´ý²âµç×裬RÊǵç×èÏ䣬R1¡¢R2ÊÇÒÑÖª×èÖµµÄ¶¨Öµµç×裮ºÏÉÏ¿ª¹ØS£¬ÁéÃôµçÁ÷¼ÆµÄÖ¸ÕëÆ«×ª£®½«Rµ÷ÖÁ×èֵΪR0ʱ£¬ÁéÃôµç×è¼ÆµÄʾÊýΪÁ㣮Óɴ˿ɼÆËã³ö´ý²âµç×èRx=
R
 
2
R
 
0
R
 
1
R
 
2
R
 
0
R
 
1
£®£¨ÓÃR1¡¢R2¡¢R0±íʾ£©
£¨2007?Î÷³ÇÇøÄ£Ä⣩£¨1£©Ò»°ÑÓαê³ß£¬Ö÷³ßµÄ×îС·Ö¶ÈÊÇ1mm£¬Óαê³ßÉÏÓÐ20¸öСµÄµÈ·Ö¿Ì¶È£®ÈçͼËùʾ£¬ÓÃËü²âÁ¿Ä³Ò»¸ÖÇòµÄÖ±¾¶£¬¸ÖÇòµÄÖ±¾¶ÊÇ
15.5
15.5
mm£®
£¨2£©Ä³Í¬Ñ§±»¡°²â¶¨½ðÊôµç×èÂÊ¡±µÄʵÑ飮
¢ÙÐèҪͨ¹ýʵÑéÖ±½Ó²âÁ¿µÄÎïÀíÁ¿ÓУº
¼ÓÔÚ½ðÊôË¿Á½¶ËµÄµçѹU£¬Í¨¹ý½ðÊôË¿µÄµçÁ÷I£¬½ðÊôË¿µÄ³¤¶ÈL£¬½ðÊôË¿µÄÖ±¾¶D
¼ÓÔÚ½ðÊôË¿Á½¶ËµÄµçѹU£¬Í¨¹ý½ðÊôË¿µÄµçÁ÷I£¬½ðÊôË¿µÄ³¤¶ÈL£¬½ðÊôË¿µÄÖ±¾¶D
£¨Ð´³öÃû³ÆºÍ·ûºÅ£©£®
¢ÚÕâλͬѧ²ÉÓ÷ü°²·¨²â¶¨Ò»¶Î×èֵԼΪ5¦¸×óÓҵĽðÊôË¿µÄµç×裮ÓÐÒÔÏÂÆ÷²Ä¿É¹©Ñ¡Ôñ£º£¨ÒªÇó²âÁ¿½á¹û¾¡Á¿×¼È·£©
A£®µç³Ø×飨3V£¬ÄÚ×èÔ¼1¦¸£©
B£®µçÁ÷±í£¨0-3A£¬ÄÚ×èÔ¼0.025¦¸£©
C£®µçÁ÷±í£¨0-0.6A£¬ÄÚ×èÔ¼0.125¦¸£©
D£®µçѹ±í£¨0-3V£¬ÄÚ×èÔ¼3k¦¸£©
E£®µçѹ±í£¨0-15V£¬ÄÚ×èÔ¼15k¦¸£©
F£®»¬¶¯±ä×èÆ÷£¨0-20¦¸£¬¶î¶¨µçÁ÷1A£©
G£®»¬¶¯±ä×èÆ÷£¨0-1000¦¸£¬¶î¶¨µçÁ÷0.3A£©
H£®¿ª¹Ø£¬µ¼Ïß
ʵÑéʱӦѡÓÃµÄÆ÷²ÄÊÇ
ACDFH
ACDFH
£¨Ìîд¸÷Æ÷²ÄµÄ×Öĸ´úºÅ£©£®
ÇëÔÚÐéÏß¿òÖл­³öʵÑéµç·ͼ£®ÕâλͬѧÔÚÒ»´Î²âÁ¿Ê±£¬µçÁ÷±í¡¢µçѹ±íµÄʾÊýÈçͼ1Ëùʾ£®ÓÉͼÖеçÁ÷±í¡¢µçѹ±íµÄ¶ÁÊý¿É¼ÆËã³ö½ðÊôË¿µÄµç×èΪ
5.2
5.2
¦¸£®
¢ÛÓ÷ü°²·¨²â½ðÊôË¿µç×è´æÔÚϵͳÎó²î£®ÎªÁ˼õСϵͳÎó²î£¬ÓÐÈËÉè¼ÆÁËÈçͼ2ËùʾµÄʵÑé·½°¸£®ÆäÖÐRxÊÇ´ý²âµç×裬RÊǵç×èÏ䣬R1¡¢R2ÊÇÒÑÖª×èÖµµÄ¶¨Öµµç×裮ºÏÉÏ¿ª¹ØS£¬ÁéÃôµçÁ÷¼ÆµÄÖ¸ÕëÆ«×ª£®½«Rµ÷ÖÁ×èֵΪR0ʱ£¬ÁéÃôµç×è¼ÆµÄʾÊýΪÁ㣮Óɴ˿ɼÆËã³ö´ý²âµç×èRx
=
R2
R1
R0
=
R2
R1
R0
£®£¨ÓÃR1¡¢R2¡¢R0±íʾ£©

Î¥·¨ºÍ²»Á¼ÐÅÏ¢¾Ù±¨µç»°£º027-86699610 ¾Ù±¨ÓÊÏ䣺58377363@163.com

¾«Ó¢¼Ò½ÌÍø