题目内容
A.A球的最大速度为
B.A球的速度最大时,两小球的总重力势能为零
C.AB两球的最大速度之比v1:v2=2:1
D.A球的速度最大时两直角边与竖直方向的夹角为45°
【答案】分析:AB两个球组成的系统机械能守恒,但对于单个的球来说机械能是不守恒的,根据系统的机械能守恒列式可以求得AB之间的关系,同时由于AB是同时转动的,它们的角速度的大小相同.
解答:解:根据题意知两球的角速度相同,线速度之比为VA:VB=ω?2l:ω?l=2:1,故C正确;
由机械能守恒可知,A球的速度最大时,两小球的总重力势能不为零,所以B错误;
当OA与竖直方向的夹角为θ时,由机械能守恒得:
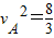
mg?2lcosθ-2mg?l(1-sinθ)=
解得:
gl(sinθ+cosθ)-
gl
由数学知识知,当θ=45°时,sinθ+cosθ有最大值,故选项D是正确的;
最大值为:
,故A正确;
故选ACD.
点评:本题中的AB的位置关系并不是在一条直线上,所以在球AB的势能的变化时要注意它们之间的关系,在解题的过程中还要用到数学的三角函数的知识,要求学生的数学基本功要好,本题由一定的难度.
解答:解:根据题意知两球的角速度相同,线速度之比为VA:VB=ω?2l:ω?l=2:1,故C正确;
由机械能守恒可知,A球的速度最大时,两小球的总重力势能不为零,所以B错误;
当OA与竖直方向的夹角为θ时,由机械能守恒得:
mg?2lcosθ-2mg?l(1-sinθ)=
解得:
由数学知识知,当θ=45°时,sinθ+cosθ有最大值,故选项D是正确的;
最大值为:
故选ACD.
点评:本题中的AB的位置关系并不是在一条直线上,所以在球AB的势能的变化时要注意它们之间的关系,在解题的过程中还要用到数学的三角函数的知识,要求学生的数学基本功要好,本题由一定的难度.
练习册系列答案
相关题目
| A、B球相对于初始位置上升的最大高度为l | B、A球的速度最大时,两小球的总重力势能为零 | C、A球在向下摆的全过程中,杆对它做了负功 | D、A、B两球的最大速度之比vA:vB=2:1 |
A、A球的最大速度为2
| ||
| B、A球的速度最大时,两小球的总重力势能最小 | ||
| C、A球的速度最大时,两直角边与竖直方向的夹角为45° | ||
| D、A、B两球的最大速度之比vA:vB=3:1 |