题目内容
如图所示,质量为m=1.5kg的小滑块,在水平面上滑行后又进入到竖直方向的半圆轨道,恰能到达轨道的最高点C点.已知小滑块经过半圆轨道最低点B点时的速度v=6m/s,竖直半圆轨道的直径d=0.8m,则滑块经过C点时的速度为 m/s,在轨道上运动的过程中,物体克服摩擦力做的功为 J.
【答案】分析:滑块在竖直平面内做圆周运动,恰能到达轨道的最高点C点时重力提供向心力.B到C的过程重力与摩擦力做功,动能减小.
解答:解:滑块在竖直平面内做圆周运动,恰能到达轨道的最高点C点时重力提供向心力.得:
所以:
m/s
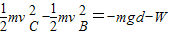
B到C的过程重力与摩擦力做功,得:
代入数据解得:W=12J
故答案为:2,12.
点评:该题中,竖直平面内恰能到达轨道的最高点C点时的临界条件:重力提供向心力是解决该题的关键.属于基础题目.
解答:解:滑块在竖直平面内做圆周运动,恰能到达轨道的最高点C点时重力提供向心力.得:
所以:
B到C的过程重力与摩擦力做功,得:
代入数据解得:W=12J
故答案为:2,12.
点评:该题中,竖直平面内恰能到达轨道的最高点C点时的临界条件:重力提供向心力是解决该题的关键.属于基础题目.
练习册系列答案
相关题目