ÌâÄ¿ÄÚÈÝ
ijͬѧÔÚ̽¾¿Å£¶ÙµÚ¶þ¶¨ÂɵÄʵÑéÖУ¬ÔÚÎïÌåËùÊܺÏÍâÁ¦²»±äʱ£¬¸Ä±äÎïÌåµÄÖÊÁ¿£¬µÃµ½µÄÊý¾ÝÈçϱíËùʾ£º
| ʵÑé´ÎÊý | ÎïÌåÖÊÁ¿m£¨kg£© | ÎïÌåµÄ¼ÓËÙ¶Èa£¨m/s2£© | ÎïÌåÖÊÁ¿µÄµ¹Êý1/m(1/kg) |
| 1 | 0.20 | 0.78 | 5.00 |
| 2 | 0.40 | 0.38 | 2.50 |
| 3 | 0.60 | 0.25 | 1.67 |
| 4 | 0.80 | 0.20 | 1.25 |
| 5 | 1.00 | 0.16 | 1.00 |
£¨2£©ÓÉa£1/mͼÏó£¬ÄãµÃ³öµÄ½áÂÛΪ ¡£
£¨3£©ÎïÌåÊܵ½µÄºÏÁ¦´óԼΪ ¡££¨½á¹û±£ÁôÁ½Î»ÓÐЧÊý×Ö£©
£¨1£©Í¼ÏóÈçͼ£®£¨2£©ÔÚÎïÌåÊܺÏÍâÁ¦²»±äʱ£¬ÎïÌåµÄÖÊÁ¿Ô½´ó£¬ËüµÄ¼ÓËÙ¶ÈԽС0£»ÔÚÎïÌåÊܺÏÍâÁ¦²»±äʱ£¬ÎïÌåµÄ¼ÓËÙ¶ÈÓëÖÊÁ¿µÄµ¹Êý³ÉÕý±È£¬¼´¼ÓËÙ¶ÈÓëÖÊÁ¿³É·´±È£¨3£©0.15N
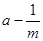
½âÎöÊÔÌâ·ÖÎö£º£¨1£©Èçͼ²ÉÓÃÃèµã·¨×÷ͼ£®Ïȸù¾Ý±í¸ñÖÐÿ×éÊý¾Ý£¬ÔÚ×ø±êÖáÉÏÃèµã£®ÔÙÓÃÆ½»¬µÄÇúÏß½«µãÄâºÏÆðÀ´£®![]()
£¨2£©ÓÉa-mͼÏ󣬿ÉÖªÔÚÎïÌåÊܺÏÍâÁ¦²»±äʱ£¬ÎïÌåµÄÖÊÁ¿Ô½´ó£¬ËüµÄ¼ÓËÙ¶ÈԽС£»ÔÚÎïÌåÊܺÏÍâÁ¦²»±äʱ£¬ÎïÌåµÄ¼ÓËÙ¶ÈÓëÖÊÁ¿µÄµ¹Êý³ÉÕý±È£¬¼´¼ÓËÙ¶ÈÓëÖÊÁ¿³É·´±È£®
£¨3£©ÔÚ
ͼÏóÈ¡ÀëÔµã½ÏÔ¶µÄµã£¬¶Á³ö×ø±ê
£¬
ÔòºÏÍâÁ¦FΪ0.15N
¿¼µã£º¼ÓËÙ¶ÈÓëÖÊÁ¿¹ØÏµ
µãÆÀ£ºÍ¨¹ý±¾Ìâ¿ÉÒÔ¿´³ö£¬ÓÉÓÚa-mͼÏóÊÇÇúÏß²»ºÃÅжÏaÓëmÊǺÎÖÖ¹ØÏµ£¬¶øÍ¨¹ý×ø±ê±ä»»£¬×÷³ö
ͼÏ󣬿ÉÒÔÖ±¹ÛµØ·ÖÎöaÓëmÊÇʲô¹ØÏµ
ijͬѧÔÚ̽¾¿Å£¶ÙµÚ¶þ¶¨ÂɵÄʵÑéÖУ¬ÔÚÎïÌåËùÊܺÏÍâÁ¦²»±äʱ£¬¸Ä±äÎïÌåµÄÖÊÁ¿£¬µÃµ½µÄÊý¾ÝÈçϱíËùʾ¡£
| ʵÑé´ÎÊý | ÎïÌåÖÊÁ¿m£¨kg£© | ÎïÌåµÄ¼ÓËÙ¶Èa£¨m/s2£© | ÎïÌåÖÊÁ¿µÄµ¹Êý1/m(1/kg) |
| 1 | 0.20 | 0.78 | 5.00 |
| 2 | 0.40 | 0.38 | 2.50 |
| 3 | 0.60 | 0.25 | 1.67 |
| 4 | 0.80 | 0.20 | 1.25 |
| 5 | 1.00 | 0.16 | 1.00 |
(1)¸ù¾Ý±íÖеÄÊý¾Ý£¬ÔÚͼÖÐËùʾµÄ×ø±êÖÐÃè³öÏàÓ¦µÄʵÑéÊý¾Ýµã£¬²¢×÷³öa£1/mͼÏó¡£
|
(2)ÓÉa£1/mͼÏó£¬ÄãµÃ³öµÄ½áÂÛΪ ¡£
(3)ÎïÌåÊܵ½µÄºÏÁ¦´óԼΪ ¡££¨½á¹û±£ÁôÁ½Î»ÓÐЧÊý×Ö£©
ijͬѧÔÚ̽¾¿Å£¶ÙµÚ¶þ¶¨ÂɵÄʵÑéÖУ¬ÔÚÎïÌåËùÊܺÏÍâÁ¦²»±äʱ£¬¸Ä±äÎïÌåµÄÖÊÁ¿£¬µÃµ½Êý¾ÝÈçϱíËùʾ¡£
| ʵÑé´ÎÊý | ÎïÌåÖÊÁ¿m£¨kg£© | ÎïÌåµÄ¼ÓËÙ¶Èa£¨m/s2£© | ÎïÌåÖÊÁ¿µÄµ¹Êý1/m(1/kg) |
| 1 | 0.20 | 0.78 | 5.00 |
| 2 | 0.40 | 0.38 | 2.50 |
| 3 | 0.60 | 0.25 | 1.67 |
| 4 | 0.80 | 0.20 | 1.25 |
| 5 | 1.00 | 0.16 | 1.00 |
¢Å¸ù¾Ý±íÖеÄÊý¾Ý£¬ÔÚͼÖÐËùʾµÄ×ø±êÖÐÃè³öÏàÓ¦µÄʵÑéÊý¾Ýµã£¬²¢×÷³öa£mͼÏóºÍa£1/mͼÏó¡£
¡¡(2)ÓÉa£mͼÏó£¬ÄãµÃ³öµÄ½áÂÛΪ £»
¡¡ ¡¡ÓÉa£1/mͼÏó£¬ÄãµÃ³öµÄ½áÂÛΪ ¡£
¡¡¡¡¡¡(3)ÎïÌåÊܵ½µÄºÏÁ¦´óԼΪ ¡££¨½á¹û±£ÁôÁ½Î»ÓÐЧÊý×Ö£©
£¨10·Ö£©Ä³Í¬Ñ§ÔÚ̽¾¿Å£¶ÙµÚ¶þ¶¨ÂɵÄʵÑéÖУ¬ÔÚÎïÌåËùÊܺÏÍâÁ¦²»±äʱ£¬¸Ä±äÎïÌåµÄÖÊÁ¿£¬µÃµ½Êý¾ÝÈçϱíËùʾ¡£
|
ʵÑé´ÎÊý |
ÎïÌåÖÊÁ¿m£¨kg£© |
ÎïÌåµÄ¼ÓËÙ¶Èa£¨m/s2£© |
ÎïÌåÖÊÁ¿µÄµ¹Êý1/m(1/kg) |
|
1 |
0.20 |
0.78 |
5.00 |
|
2 |
0.40 |
0.38 |
2.50 |
|
3 |
0.60 |
0.25 |
1.67 |
|
4 |
0.80 |
0.20 |
1.25 |
|
5 |
1.00 |
0.16 |
1.00 |
¢Å£¨2·Ö£©¸ù¾Ý±íÖеÄÊý¾Ý£¬ÔÚͼÖÐËùʾµÄ×ø±êÖÐÃè³öÏàÓ¦µÄʵÑéÊý¾Ýµã£¬²¢×÷³öa£mͼÏóºÍa£1/mͼÏó¡£
![]()
(2)£¨2·Ö£©ÓÉa£mͼÏó£¬ÄãµÃ³öµÄ½áÂÛΪ £»
ÓÉa£1/mͼÏó£¬ÄãµÃ³öµÄ½áÂÛΪ ¡£
(3)£¨2·Ö£©ÎïÌåÊܵ½µÄºÏÁ¦´óԼΪ ¡££¨½á¹û±£ÁôÁ½Î»ÓÐЧÊý×Ö£©
ijͬѧÔÚ̽¾¿Å£¶ÙµÚ¶þ¶¨ÂɵÄʵÑéÖУ¬ÔÚÎïÌåËùÊܺÏÍâÁ¦²»±äʱ£¬¸Ä±äÎïÌåµÄÖÊÁ¿£¬µÃµ½Êý¾ÝÈçϱíËùʾ¡£
|
ʵÑé´ÎÊý |
ÎïÌåÖÊÁ¿m£¨kg£© |
ÎïÌåµÄ¼ÓËÙ¶Èa£¨m/s2£© |
ÎïÌåÖÊÁ¿µÄµ¹Êý1/m(1/kg) |
|
1 |
0.20 |
0.78 |
5.00 |
|
2 |
0.40 |
0.38 |
2.50 |
|
3 |
0.60 |
0.25 |
1.67 |
|
4 |
0.80 |
0.20 |
1.25 |
|
5 |
1.00 |
0.16 |
1.00 |
¡¡¡¡¢Å¸ù¾Ý±íÖеÄÊý¾Ý£¬ÔÚͼÖÐËùʾµÄ×ø±êÖÐÃè³öÏàÓ¦µÄʵÑéÊý¾Ýµã£¬²¢×÷³öa£mͼÏóºÍa£1/mͼÏó¡£
![]()
![]()
(2)ÓÉa£mͼÏó£¬ÄãµÃ³öµÄ½áÂÛΪ £»
¡¡ ¡¡ÓÉa£1/mͼÏó£¬ÄãµÃ³öµÄ½áÂÛΪ ¡£
(3)ÎïÌåÊܵ½µÄºÏÁ¦´óԼΪ ¡££¨½á¹û±£ÁôÁ½Î»ÓÐЧÊý×Ö£©