题目内容
如图所示,冬天,游乐园水池中的水全部结冰,小彩灯被冻结在A点,彩灯亮时,测得水平冰面上发光圆面的直径为d,已知冰的折射率为n,真空中光速为c,求:(1)光在冰中的传播速度v;
(2)彩灯到冰面的距离h.
【答案】分析:(1)已知冰的折射率为n,真空中光速为c,由公式
求解光在冰中的传播速度v;
(2)光由冰射向空气时在水平冰面上发光圆面边缘发生了全反射,由
求出临界角,由几何知识求解彩灯到冰面的距离h.
解答:解:(1)由
得:
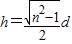
(2)光由冰射向空气发生全反射的临界角为C,则:
光由冰射向空气时在水平冰面上发光圆面边缘发生了全反射,A点到冰面的距离:
解得:
答:(1)光在冰中的传播速度v是
;
(2)彩灯到冰面的距离h是
.
点评:本题考查光速公式
、全反射临界角公式
,并结合几何知识求解,基础题.
(2)光由冰射向空气时在水平冰面上发光圆面边缘发生了全反射,由
解答:解:(1)由
(2)光由冰射向空气发生全反射的临界角为C,则:
光由冰射向空气时在水平冰面上发光圆面边缘发生了全反射,A点到冰面的距离:
解得:
答:(1)光在冰中的传播速度v是
(2)彩灯到冰面的距离h是
点评:本题考查光速公式
练习册系列答案
相关题目