题目内容
(1)金属棒沿导轨开始下滑时的加速度大小;
(2)金属棒达到cd处的速度大小;
(3)金属棒由位置ab运动到cd的过程中,电阻R产生的热量.
【答案】分析:(1)金属棒刚开始下滑时受重力、支持力和摩擦力作用,根据牛顿第二定律求出金属棒沿导轨开始下滑的加速度大小.
(2)金属棒到达cd处受重力、支持力、摩擦力和安培力平衡,结合闭合电路欧姆定律、切割产生的感应电动势公式以及共点力平衡求出匀速运动的速度.
(3)金属棒由位置ab运动到cd的过程中动能增加、重力势能减小,摩擦产生的内能增加,整个回路产生的热量增加,根据能量守恒定律求出电阻R上产生的热量.
解答:解:(1)设金属杆的加速度大小为a,则
mgsinθ-μmgcosθ=ma
a=2.0m/s2
(2)设金属棒达到cd位置时速度大小为v、电流为I,金属棒受力平衡,有
mgsinθ=BIL+μmgcosθ

解得 v=2.0m/s
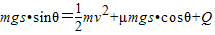
(3)设金属棒从ab运动到cd的过程中,电阻R上产生的热量为Q,由能量守恒,有
解得 Q=0.10J
答:(1)金属棒沿导轨开始下滑时的加速度大小为2m/s2.
(2)金属棒达到cd处的速度大小为2m/s.
(3)金属棒由位置ab运动到cd的过程中,电阻R产生的热量为0.10J.
点评:本题综合考查了牛顿第二定律、闭合电路欧姆定律以及能量守恒定律等,综合性较强,对学生的能力要求较高,是一道好题.
(2)金属棒到达cd处受重力、支持力、摩擦力和安培力平衡,结合闭合电路欧姆定律、切割产生的感应电动势公式以及共点力平衡求出匀速运动的速度.
(3)金属棒由位置ab运动到cd的过程中动能增加、重力势能减小,摩擦产生的内能增加,整个回路产生的热量增加,根据能量守恒定律求出电阻R上产生的热量.
解答:解:(1)设金属杆的加速度大小为a,则
mgsinθ-μmgcosθ=ma
a=2.0m/s2
(2)设金属棒达到cd位置时速度大小为v、电流为I,金属棒受力平衡,有
mgsinθ=BIL+μmgcosθ
解得 v=2.0m/s
(3)设金属棒从ab运动到cd的过程中,电阻R上产生的热量为Q,由能量守恒,有
解得 Q=0.10J
答:(1)金属棒沿导轨开始下滑时的加速度大小为2m/s2.
(2)金属棒达到cd处的速度大小为2m/s.
(3)金属棒由位置ab运动到cd的过程中,电阻R产生的热量为0.10J.
点评:本题综合考查了牛顿第二定律、闭合电路欧姆定律以及能量守恒定律等,综合性较强,对学生的能力要求较高,是一道好题.
练习册系列答案
相关题目
| π |
| 2 |
A、在t=1s时刻电流表的示数为
| ||||
| B、导体棒两端的最大电压为1V | ||||
| C、单位时间内电阻R上产生的焦耳热为0.25J | ||||
| D、从t=0至t=3s的时间内水平外力所做的功为0.75J |