ÌâÄ¿ÄÚÈÝ
2011Äê11ÔÂ3ÈÕÁ賿1ʱ36·Ö£¬¡°Ì칬һºÅ¡±Ä¿±ê·ÉÐÐÆ÷Óë¡°ÉñÖ۰˺š±·É´¬Ë³ÀûÍê³ÉÊ״ν»»á¶Ô½Ó£¬ÖйúÔØÈ˺½ÌìÊ״οռ佻»á¶Ô½ÓÈ¡µÃÔ²Âú³É¹¦£¬½Ò¿ªÁËÖйúº½ÌìµÄոн׶Σ®¼ÙÈç¡°ÉñÖ۰˺š±Óë¡°Ì칬һºÅ¡±¶Ô½ÓǰËù´¦µÄ¹ìµÀÈçͼ¼×Ëùʾ£¬Í¼ÒÒÊÇËüÃÇÔÚ¹ìµÀÉϼ´½«¶Ô½ÓʱµÄÄ£Äâͼ£®µ±ËüÃÇ´¦ÓÚͼ¼×ËùʾµÄ¹ìµÀÔËÐÐʱ£¬ÏÂÁÐ˵·¨ÕýÈ·µÄÊÇ£¨ £©A£®¡°ÉñÖ۰˺š±µÄ¼ÓËٶȱȡ°Ì칬һºÅ¡±µÄ´ó
B£®¡°ÉñÖ۰˺š±µÄÔËÐÐËٶȱȡ°Ì칬һºÅ¡±µÄС
C£®¡°ÉñÖ۰˺š±µÄÔËÐÐÖÜÆÚ±È¡°Ì칬һºÅ¡±µÄ³¤
D£®¡°ÉñÖ۰˺š±ÊʶȼÓËÙºóÓпÉÄÜÓë¡°Ì칬һºÅ¡±ÊµÏÖ¶Ô½Ó
¡¾´ð°¸¡¿·ÖÎö£ºÌ칬һºÅºÍÉñÖ۰˺ÅÈÆµØÇò×öÔÈËÙÔ²ÖÜÔ˶¯£¬¿¿ÍòÓÐÒýÁ¦ÌṩÏòÐÄÁ¦£¬¸ù¾ÝÍòÓÐÒýÁ¦¶¨ÂɺÍÅ£¶ÙµÚ¶þ¶¨ÂɱȽÏÏßËÙ¶È¡¢ÖÜÆÚ¡¢ÏòÐļÓËٶȵĴóС
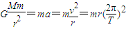
½â´ð£º½â£ºA¡¢¸ù¾Ý£º
µÃ£º
£¬v=
£¬T=
Ì칬һºÅµÄ°ë¾¶´ó£¬ÏòÐļÓËÙ¶ÈС£¬ÏßËÙ¶ÈС£¬ÖÜÆÚ´ó£®¹ÊAÕýÈ·£¬B¡¢C´íÎó£®
D¡¢ÉñÖ۰˺ÅÔÚ¹ìµÀÉϼÓËÙ£¬ÓÉÓÚÍòÓÐÒýÁ¦Ð¡ÓÚËùÐèµÄÏòÐÄÁ¦£¬ÉñÖ۰˺Żá×öÀëÐÄÐÄÔ˶¯£¬À뿪ԹìµÀ£¬¿ÉÄÜ»áºÍÌ칬һºÅ¶Ô½Ó£®¹ÊDÕýÈ·£®
¹ÊÑ¡AD£®
µãÆÀ£º½â¾ö±¾ÌâµÄ¹Ø¼üÕÆÎÕÏßËÙ¶È¡¢ÖÜÆÚ¡¢ÏòÐļÓËÙ¶ÈÓë¹ìµÀ°ë¾¶µÄ¹ØÏµ£¬ÒÔ¼°ÖªµÀÉñÖ۰˺ÅÖ»ÓмÓËÙʱ£¬ÍòÓÐÒýÁ¦²»¹»ÌṩÏòÐÄÁ¦£¬À뿪ԹìµÀ×öÀëÐÄÔ˶¯¿ÉÄÜÓëÌ칬һºÅ¶Ô½Ó£®
½â´ð£º½â£ºA¡¢¸ù¾Ý£º
µÃ£º
Ì칬һºÅµÄ°ë¾¶´ó£¬ÏòÐļÓËÙ¶ÈС£¬ÏßËÙ¶ÈС£¬ÖÜÆÚ´ó£®¹ÊAÕýÈ·£¬B¡¢C´íÎó£®
D¡¢ÉñÖ۰˺ÅÔÚ¹ìµÀÉϼÓËÙ£¬ÓÉÓÚÍòÓÐÒýÁ¦Ð¡ÓÚËùÐèµÄÏòÐÄÁ¦£¬ÉñÖ۰˺Żá×öÀëÐÄÐÄÔ˶¯£¬À뿪ԹìµÀ£¬¿ÉÄÜ»áºÍÌ칬һºÅ¶Ô½Ó£®¹ÊDÕýÈ·£®
¹ÊÑ¡AD£®
µãÆÀ£º½â¾ö±¾ÌâµÄ¹Ø¼üÕÆÎÕÏßËÙ¶È¡¢ÖÜÆÚ¡¢ÏòÐļÓËÙ¶ÈÓë¹ìµÀ°ë¾¶µÄ¹ØÏµ£¬ÒÔ¼°ÖªµÀÉñÖ۰˺ÅÖ»ÓмÓËÙʱ£¬ÍòÓÐÒýÁ¦²»¹»ÌṩÏòÐÄÁ¦£¬À뿪ԹìµÀ×öÀëÐÄÔ˶¯¿ÉÄÜÓëÌ칬һºÅ¶Ô½Ó£®
Á·Ï°²áϵÁдð°¸
Ïà¹ØÌâÄ¿