题目内容

(10分)如图所示,水平方向的匀强电场场强为E,场区宽度为L,竖直方向足够长,紧挨着电场的是垂直于纸面向外的两个匀强磁场区域,其磁感应强度分别为B和2B。一个质量m,电荷量为q的带正电粒子,其重力不计,从电场的边界MN上的a点由静止释放,经电场加速后进入磁场,经过时间穿过中间磁场,进入右边磁场后能按某一路径再返回到电场的边界MN上的某一点b,途中虚线为场区的分界面。求:

(1)中间场区的宽度d;

(2)粒子从a点到b点所经历的时间

(3)当粒子第n次返回电场的MN边界时与出发点之间的距离

 

【答案】

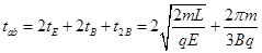
 (1)  ,(2)  ,(3)

【解析】

试题分析:粒子从a点出发,在电场中加速和在两磁场中偏转,回到MN上的b点,轨迹如下图所示。

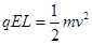
(1)粒子在电场中加速运动时,有,解得,由得:粒子在中间磁场通过的圆弧所对的圆心角为

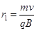
粒子在中间磁场通过的圆弧半径为,由几何关系得,

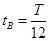
(2)粒子在右边磁场中运动,其圆弧对应的圆心角为,则

粒子在电场中加速时,得:

根据对称性:

(3)由轨迹图得:

 

再由周期性得: 。

考点:本题考查了带点粒子在电场和磁场中运动。

 

练习册系列答案
相关题目

违法和不良信息举报电话:027-86699610 举报邮箱:58377363@163.com

精英家教网