题目内容

一颗在赤道上空飞行的人造地球卫星,其轨道半径为r=3R(R为地球半径),已知地球表面重力加速度为g,则:

(1)该卫星的运行周期是多大?

(2)若卫星的运动方向与地球自转方向相同,已知地球自转角速度为ω0,某一时刻该卫星通过赤道上某建筑物的正上方,再经过多少时间它又一次出现在该建筑物正上方?

答案:
解析:

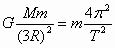
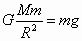
  (1)对卫星运用万有引力定律和牛顿运动定律可得

  ·3R

  

  联立解得

  (2)以地面为参照物,卫星再次出现在建筑物上方时,建筑物随地球转过的弧度比卫星转过弧度少

  

  或1Δt-0Δt=2,Δt=


练习册系列答案
相关题目

违法和不良信息举报电话:027-86699610 举报邮箱:58377363@163.com

精英家教网