题目内容

一列简谐横波,在t=0时刻的波形如图所示,质点振动的振幅为10cm。P、Q两点的坐标分别为-1m和-9m,波传播方向由右向左,已知t=0.7s时, P点第二次出现波峰。试计算:

①这列波的传传播速度多大?
②从t=0时刻起,经多长时间Q点第一次出现波峰?
③当Q点第一次出现波峰时,P点通过的路程为多少?

① v=10m/s ② t=1.1s    ③ L=0.9m

解析试题分析:①由图示:这列波的波长 (1分)   
又:   得   (1分)
由波速公式:     (2分)
②第一个波峰到Q点的距离为x=11m  由公式
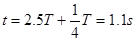
或:振动传到Q点需2.5个周期,因质点起振方向向上,第一次到达波峰再需1/4周期,故             (2分)
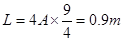
③ 振动传到P点需1/2个周期,所以当Q点第一次出现波峰时,P点已振动了   则P点通过的路程为       (3分)
考点:横波的图象;波长、频率和波速的关系.
点评:本题考查由两个时刻的波形列出通项的能力.考查运用数学知识解决物理问题能力是高考考查的五大能力之一.

练习册系列答案
相关题目

违法和不良信息举报电话:027-86699610 举报邮箱:58377363@163.com

精英家教网