题目内容
如图所示的电路中,当滑动变阻器R的滑片P向下移动时,以下判断中正确的是( )
![]()
A.电源内部发热功率变小
B.小电灯L变亮
C.电流表的示数变小
D.电源的效率提高
【答案】
AD
【解析】
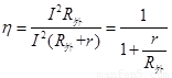
试题分析:由电路图可知,滑动变阻器R的滑片P向下移动时,滑动变阻器接入电路的阻值变大,电路总电阻变大,由闭合电路的欧姆定律可知,电路电流I变小,电源内部发热功率P内=I2r变小,故A正确;并联电路电压U=E-I(r+R1)变大,电流
变大,电流表示数变大,故C错误;通过灯泡的电流IL=I-I2变小,灯泡实际功率PL=IL2RL变小,小电灯变暗,故B错误;电源效率
,电源内阻r不变,外电阻R外变大,电源效率变大,故D正确.
考点:动态电路的分析;电源的效率。
练习册系列答案
相关题目
| A、热敏电阻在温度越高时,电阻越大 | B、热敏电阻在温度越高时,电阻越小 | C、半导体材料温度升高时,导电性能变差 | D、半导体材材温度升高时,导电性能变好 |