题目内容

某一长直的赛道上,有一辆F1赛车,前方200m处有一安全车正以10 m/s的速度匀速前进,这时赛车从静止出发以2 m/s2的加速度追赶,试求:

 (1)赛车何时追上安全车?

(2)追上之前与安全车最远相距多少?

 (3)当赛车刚追上安全车时,赛车手立即刹车,使赛车以4 m/s2的加速度做匀减速直线运动,问两车再经过多长时间第二次相遇?(设赛车可以从安全车旁经过而不发生相撞)

解:
(1)设经t2时间追上安全车       解出   t2=20s  ……4分
     
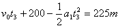
 (2)当两车速度相等时,两车相距最远
         解出:      t3=5s                              
      Δx=                              ……4分
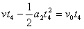
(3)设再经t4时间两车第二次相遇   解出 t4=15s
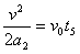
      赛车停下的时间为10s,t4=15s不合实际,所以两车第二次相遇再经时间t5 
               得t5=20s                                   ……5分

练习册系列答案
相关题目

违法和不良信息举报电话:027-86699610 举报邮箱:58377363@163.com

精英家教网