题目内容
如图所示的电路中,电源电动势为E,内阻为R,L1和L2为相同的灯泡,每个灯泡的电阻和定值电阻相同,阻值均为R,电压表为理想电表,K为单刀双掷开关,当开关由1位置打到2位置时
| A.电压表读数将变大 | B.L1亮度不变,L2将变亮 |
| C.L1将变亮,L2将变暗 | D.电源的发热功率将变小 |
B
解析试题分析:开关在位置1时,外电路总电阻
,电压表示数
,同理,两灯电压
,电源内阻的发热功率为![]()
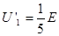
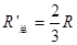
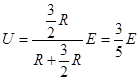
开关在位置2时,外电路总电阻
,,电压表示数
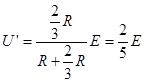
,,灯泡L1的电压
,L2′的电压
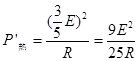
,电源内阻的发热功率为![]()
综上所述,电压表读数将变小,A错误,L1亮度不变,L2将变亮.故B正确C错误.电源内阻的发热功率将变大.故D错误
故选BD
考点:考查了全电路欧姆定律和电功的计算
点评:本题采用计算法,用相同的物理量表示其他物理量,来进行比较大小,或计算比值,这也是物理常用的方法之一.
练习册系列答案
相关题目
| A、L2的灯丝烧断了 | B、L1的灯丝烧断了 | C、L1和L2和灯丝都烧断了 | D、变阻器R断路 |
| A、电压表读数增大时,电流表读数增大,浓度ρ增大 | B、电压表读数减小时,电流表读数减小,浓度ρ增大 | C、电压表读数增大时,电流表读数减小,浓度ρ减小 | D、电压表读数减小时,电流表读数增大,浓度ρ減小 |