题目内容

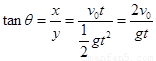
如图所示,小球以Vo正对倾角为的斜面水平抛出,若小球到达斜面的位移最小,则飞行时间t为(重力加速度为g)

 

 

【答案】

A

【解析】

试题分析:若使小球到斜面的位移最小,则抛出点到落点的线段与斜面垂直,如图所示,小球水平抛出后水平方向匀速直线运动,竖直方向自由落体运动,根据几何关系可知,,整理得,选项A对。

考点:平抛运动

 

练习册系列答案
相关题目

违法和不良信息举报电话:027-86699610 举报邮箱:58377363@163.com

精英家教网