题目内容
某校课外活动小组,自制一枚土火箭,设火箭发射实验时垂直于地面向上作匀变速直线运动.已知火箭点火后,经t=4s到达离地面高h=40m处燃料恰好用完.若空气阻力和燃料质量均可忽略不计,g取10m/s2.求:(1)火箭所受到的平均推力F与重力G的比值;
(2)火箭能到达的离地面的最大高度H.
【答案】分析:(1)根据位移时间公式求出匀加速直线运动的加速度,通过牛顿第二定律求出平均推力F与重力G的比值.
(2)根据速度时间公式求出最大速度的大小,通过运动学公式求出匀减速运动的位移,从而得出上升的最大高度.
解答:解:(1)根据h=
得,a=
.
根据牛顿第二定律得,F-mg=ma,解得F=mg+ma=15m.
所以
(2)火箭上升的最大速度v=at=20m/s.
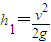
火箭能够继续上升的高度
代入数据得 h1=20m
火箭离地的最大高度H=h+h1=60m
答:(1)火箭所受到的平均推力F与重力G的比值为
.
(2)火箭能到达的离地面的最大高度为60m.
点评:本题考查了牛顿第二定律和运动学公式的基本运用,知道加速度是联系力学和运动学的桥梁.
(2)根据速度时间公式求出最大速度的大小,通过运动学公式求出匀减速运动的位移,从而得出上升的最大高度.
解答:解:(1)根据h=
根据牛顿第二定律得,F-mg=ma,解得F=mg+ma=15m.
所以
(2)火箭上升的最大速度v=at=20m/s.
火箭能够继续上升的高度
代入数据得 h1=20m
火箭离地的最大高度H=h+h1=60m
答:(1)火箭所受到的平均推力F与重力G的比值为
(2)火箭能到达的离地面的最大高度为60m.
点评:本题考查了牛顿第二定律和运动学公式的基本运用,知道加速度是联系力学和运动学的桥梁.
练习册系列答案
相关题目