题目内容
某汽车沿一直线运动,在t时间内通过的路程为L,在L/2处速度为v1,在t/2处速度为v2,则下列说法中正确的是( )A.若作匀加速运动,则v1>v2
B.若作匀减速运动,则v1<v2
C.若作匀加速运动,则v1<v2
D.若作匀减速运动,则v1>v2
【答案】分析:汽车做匀变速直线运动,分别求出中间时刻的瞬时速度和中间位置的瞬时速度,然后根据作差法比较两个速度的大小.
解答:解:汽车做匀变速直线运动,设初速度、末速度分别为v、v,根据匀变速直线运动的推论,则在中间时刻的速度,即
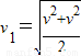
处速度
,中间位置的速度,即在
处得速度
.
>0,则不管是匀加速直线运动还是匀减速直线运动,v1>v2.故A、D正确,B、C错误.
故选AD.
点评:解决本题的关键根据匀变速直线运动的推论分别求出中间时刻的瞬时速度和中间位置的瞬时速度,然后用作差法比较.本题也可以采用图象法解决.
解答:解:汽车做匀变速直线运动,设初速度、末速度分别为v、v,根据匀变速直线运动的推论,则在中间时刻的速度,即
故选AD.
点评:解决本题的关键根据匀变速直线运动的推论分别求出中间时刻的瞬时速度和中间位置的瞬时速度,然后用作差法比较.本题也可以采用图象法解决.
练习册系列答案
相关题目
某汽车沿一直线运动,在t时间内通过的位移为L,在
处速度为v1,在
处速度为v2,则 ( )
A.匀加速运动,v1>v2 B.匀减速运动,v1<v2
C.匀加速运动,v1<v2 D.匀减速运动,v1>v2
某汽车沿一直线运动,在t时间内通过的位移为L,在
处速度为v1,在
处速度为v2,则( )
| A.匀加速运动,v1>v2 | B.匀减速运动,v1<v2 |
| C.匀加速运动,v1<v2 | D.匀减速运动,v1>v2 |