题目内容

(10分)如图所示,将小砝码置于桌面上的薄纸板上,用水平向右的拉力将纸板迅速抽出,砝码的移动很小,几乎观察不到,这就是大家熟悉的惯性演示实验。若砝码和纸板的质量分别为m1 和m2,各接触面间的动摩擦因数均为μ,重力加速度为g。

(1)当纸板相对砝码运动时,求纸板所受摩擦力的大小;

(2)要使纸板相对砝码运动,求所需拉力的大小;

(3)本实验中,m1 =0.5kg,m2 =0.1kg,μ=0.2,砝码与纸板左端的距离d=0.1m,取g =10 m/ s2。若砝码移动的距离超过l =0.002 m,人眼就能感知。为确保实验成功,纸板所需的拉力至少多大?

 

【答案】

(1) (2)F>(3)F=22.4N

【解析】

试题分析:(1)砝码对纸板的摩擦力为,桌面对纸板的摩擦力如图所示,

所以纸板受到的摩擦力

(2)设砝码的加速度为,由牛顿第二定律

纸板的加速度为,由牛顿第二定律

两物体发生相对运动,则解得

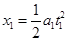
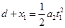
(3)纸板抽出前,砝码运动的距离

纸板运动的距离为

纸板抽出前,砝码在桌面上运动的距离

由物体的位移关系知砝码移动的距离超过l=x1+x2

由题意知,

解得

将m1 =0.5kg,m2 =0.1kg,μ=0.2,砝码与纸板左端的距离d=0.1m代入上式得F=22.4N

考点:物体相对运动的位移关系 牛顿第二定律 匀变速直线运动规律

 

练习册系列答案
相关题目

违法和不良信息举报电话:027-86699610 举报邮箱:58377363@163.com

精英家教网