题目内容

“探路者”号宇宙飞船在宇宙深处飞行过程中,发现A、B两颗天体各有一颗靠近表面飞行的卫星,并测得两颗卫星的周期相等,以下判断正确的是

A.天体A、B表面的重力加速度与它们的半径成正比

B.两颗卫星的线速度一定相等

C.天体A、B的质量一定相等

D.天体A、B的密度一定相等

答案:AD
解析:

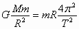
知,A正确;由,因两颗天体半径R不确定,故B不正确.由知,C不正确;由得D正确.故选AD


练习册系列答案
相关题目

违法和不良信息举报电话:027-86699610 举报邮箱:58377363@163.com

精英家教网