题目内容

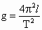
(上海高考题)在做“用单摆测定重力加速度”的实验时,用摆长l和周期T计算重力加速度的公式是g=______.如果已知摆球直径为2.00cm,让刻度尺的零点对准摆线的悬点,摆线竖直下垂,如图(a)所示,那么单摆摆长是_______.如果测定了40次全振动的时间如图(b)中停表所示,那么停表读数是______s,单摆的摆动周期是______s.

答案:略
解析:

答案: 87.40cm 75.2 1.88

解析:由实验原理和单摆的周期公式

摆球的直径d=2.00cm

故摆长

停表的读数t=75.2s

故单摆的振动周期


练习册系列答案
相关题目

违法和不良信息举报电话:027-86699610 举报邮箱:58377363@163.com

精英家教网