ÌâÄ¿ÄÚÈÝ
Èçͼ£¬Ò»¸ù´Öϸ¾ùÔÈ¡¢Äڱڹ⻬¡¢ÊúÖ±·ÅÖõIJ£Á§¹Ü϶ËÃܷ⣬É϶˷â±Õµ«ÁôÓÐÒ»³éÆø¿×£®¹ÜÄÚϲ¿±»»îÈû·âסһ¶¨Á¿µÄÆøÌ壨¿ÉÊÓΪÀíÏëÆøÌ壩£¬ÆøÌåζÈΪT1£®¿ªÊ¼Ê±£¬½«»îÈûÉÏ·½µÄÆøÌ建Âý³é³ö£¬µ±»îÈûÉÏ·½µÄѹǿ´ïµ½pʱ£¬»îÈûÏ·½ÆøÌåµÄÌå»ýΪV1£¬»îÈûÉÏ·½²£Á§¹ÜµÄÈÝ»ýΪ2.6V1£®»îÈûÒòÖØÁ¦¶ø²úÉúµÄѹǿΪ0.5p£®¼ÌÐø½«»îÈûÉÏ·½³é³ÉÕæ¿Õ²¢Ãܷ⣮Õû¸ö³éÆø¹ý³ÌÖйÜÄÚÆøÌåζÈʼÖÕ±£³Ö²»±ä£®È»ºó½«ÃÜ·âµÄÆøÌ建Âý¼ÓÈÈ£®Ç󣺢ٻîÈû¸ÕÅöµ½²£Á§¹Ü¶¥²¿Ê±ÆøÌåµÄζȣ»
¢Úµ±ÆøÌåζȴﵽ1.8T1Ê±ÆøÌåµÄѹǿ£®
¡¾´ð°¸¡¿·ÖÎö£º»îÈû´Ó¿ªÊ¼¸ÕÅöµ½²£Á§¹Ü¶¥²¿Ê±£¬·ÖÎöÈý¸ö²ÎÁ¿±ä»¯µÄÇé¿ö£¬·Ö±ð¸ù¾Ý²£Òâ¶ú¶¨ÂÉºÍÆøÌ¬·½³Ì¶Ô¹ý³Ì½øÐÐÑо¿£¬Áз½³ÌÇó½â£®
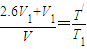
½â´ð£º½â£º¢ÙÓɲ£Òâ¶ú¶¨Âɵãº
£¬
ʽÖÐVÊdzé³ÉÕæ¿Õºó»îÈûÏ·½ÆøÌåÌå»ý
ÓɸÇ?ÂÀÈø¿Ë¶¨Âɵãº
½âµÃ£ºT¡ä=1.2T
¢ÚÓɲéÀí¶¨Âɵãº
½âµÃ£ºp2=0.75p
´ð£º¢Ù»îÈû¸ÕÅöµ½²£Á§¹Ü¶¥²¿Ê±ÆøÌåµÄζÈÊÇ1.2T£»
¢Úµ±ÆøÌåζȴﵽ1.8T1Ê±ÆøÌåµÄѹǿÊÇ0.75p£®
µãÆÀ£º¶ÔÓÚÆøÌå״̬±ä»¯ÎÊÌ⣬¹Ø¼ü·ÖÎöÆøÌåµÄ״̬²ÎÁ¿£¬È·¶¨ÊǺÎÖֱ仯¹ý³Ì£¬ÔÙÁз½³ÌÇó½â£®
½â´ð£º½â£º¢ÙÓɲ£Òâ¶ú¶¨Âɵãº
ʽÖÐVÊdzé³ÉÕæ¿Õºó»îÈûÏ·½ÆøÌåÌå»ý
ÓɸÇ?ÂÀÈø¿Ë¶¨Âɵãº
½âµÃ£ºT¡ä=1.2T
¢ÚÓɲéÀí¶¨Âɵãº
½âµÃ£ºp2=0.75p
´ð£º¢Ù»îÈû¸ÕÅöµ½²£Á§¹Ü¶¥²¿Ê±ÆøÌåµÄζÈÊÇ1.2T£»
¢Úµ±ÆøÌåζȴﵽ1.8T1Ê±ÆøÌåµÄѹǿÊÇ0.75p£®
µãÆÀ£º¶ÔÓÚÆøÌå״̬±ä»¯ÎÊÌ⣬¹Ø¼ü·ÖÎöÆøÌåµÄ״̬²ÎÁ¿£¬È·¶¨ÊǺÎÖֱ仯¹ý³Ì£¬ÔÙÁз½³ÌÇó½â£®
Á·Ï°²áϵÁдð°¸
Ïà¹ØÌâÄ¿