题目内容

某探究性学习小组欲探究光滑斜面上物体下滑的加速度与物体质量及斜面倾角是否有关.实验室提供如下器材:

A.表面光滑的长木板(长度为L);

B.小车;

C.质量为m的钩码若干个;

D.方木块(备用于垫木板);

E.米尺;

F.秒表.

实验过程:

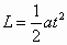
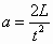
第一步,在保持斜面倾角不变时,探究加速度与质量的关系.实验中,通过向小车放入钩码来改变物体质量,只要测出小车由斜面顶端滑至底端所用时间t,就可以由公式a=________求出a.

某同学记录的数据如下表所示:

根据以上信息,我们发现,在实验误差范围内质量改变之后平均下滑时间________(填“改变”或“不改变”),经过分析得出加速度与质量的关系为________.第二步,在物体质量不变时,探究加速度与倾角的关系.实验中通过改变方木块垫放位置来调整长木板的倾角,由于没有量角器,因此通过测量出木板顶端到水平面高度h,求出倾角α的正弦值sinα=h/L.

某同学记录了高度和加速度的对应值,并在坐标纸上建立适当的坐标轴后描点作图如图,请根据他所作的图线求出当地的重力加速度g=________m/s2.进一步分析可知,光滑斜面上物体下滑的加速度与倾角的关系为________.

答案:
解析:

  解析:斜面长度L已知,测出小车由斜面顶端运动到斜面底端的时间t,由分析表中数据,发现小车质量改变时,下滑时间不变(略有不同是因为实验中存在误差),因此加速度与质量无关.

  小车沿光滑斜面下滑时,受力如图.

  则ma=mgsinα

  所以a=gsinα(可见与质量无关)

  则asinα图象中图线的斜率表示g的大小.由图象中取两点,读出其横、纵坐标(sinα1,a1)、(sinα2,a2),那么

  例如

  答案: 不改变 无关 9.80 a=gsinα


练习册系列答案
相关题目
某探究性学习小组欲探究光滑斜面上物体的加速度与物体质量及斜面倾角是否有关.实验室提供如下器材:
(A)表面光滑的长木板(长度为L),
(B)小车,
(C)质量为m的钩码若干个,
(D)方木块(备用于垫木板),
(E)米尺,
(F)秒表.
(1)实验过程:
次数/时间/质量 M M+m M+2m
1 1.42 1.41 1.42
2 1.40 1.42 1.39
3 1.41 1.38 1.42
第一步,在保持斜面倾角不变时,探究加速度与质量的关系.
实验中,通过向小车放入钩码来改变物体质量,只要测出小车由斜面顶端滑至底端所用时间t,就可以由公式a=
2L
t2
2L
t2
求出a.某同学记录了数据如上表所示:
根据以上信息,我们发现,在实验误差范围内质量改变之后平均下滑时间
不改变
不改变
(填“改变”或“不改变”),经过分析得出加速度与质量的关系为
斜面倾角一定时,加速度与物体质量无关
斜面倾角一定时,加速度与物体质量无关

第二步,在物体质量不变时,探究加速度与倾角的关系.实验中通过改变方木块垫放位置来调整长木板的倾角,由于没有量角器,因此通过测量出木板顶端到水平面高度h,求出倾 角α的正弦值sinα=h/L.某同学记录了高度和加速度的对应值,并在坐标纸上建立适当的坐标轴后描点作图如下,请根据他所作的图线求出当地的重力加速度g=
10
10
m/s2.进一步分析可知,光滑斜面上物体下滑的加速度与倾角的关系为
a=gsinα
a=gsinα

违法和不良信息举报电话:027-86699610 举报邮箱:58377363@163.com

精英家教网