题目内容

如图所示,斜面倾角为45°,从斜面上方A点处由静止释放一个质量为m的弹性小球,在B点处和斜面碰撞,碰撞后速度大小不变,方向变为水平,经过一段时间在C点再次与斜面碰撞.已知AB两点的高度差为h,重力加速度为g,不考虑空气阻力.求:

(1)小球在AB段运动过程中重力做功的平均功率P;

(2)小球落到C点时速度的大小.

答案:
解析:

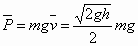
  (1)小球下降过程中,做自由落体运动,落到斜面B点的速度为v,

  满足:解得:

  所以小球在AB段重力的平均功率:

  (2)小球从B到C做平抛运动,设B到C的时间为t

  竖直方向:

  水平方向:

  解得:

  所以C点的速度为


练习册系列答案
相关题目

违法和不良信息举报电话:027-86699610 举报邮箱:58377363@163.com

精英家教网