题目内容

下图表示发射地球同步卫星时的三个阶段,首先将卫星送上近地圆轨道,其半径为r,然后在某处B加速使其轨道成为以地心为焦点的椭圆轨道,最后在轨道最高点A再次加速,使卫星进入地球同步圆轨道,其半径为R,周期为T.A、B分别为椭圆轨道的远地点和近地点.试求卫星从B运动到A经历的时间.

答案:
解析:

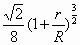
  答案:·T

  解析:卫星从B到A的时间恰为椭圆运动的半周期,其周期设为,同步圆轨道半径为R,运动周期设为T,近地圆轨道半径为r,则椭圆轨道半长轴为(R+r),由开普勒第三定律得:,所以t=·T.


练习册系列答案
相关题目

违法和不良信息举报电话:027-86699610 举报邮箱:58377363@163.com

精英家教网