题目内容

一辆汽车在公路上做匀速直线运动,速度大小为v1=10m/s,一人骑自行车在汽车前面以v2=4m/s的速度做匀速直线运动,汽车司机发现骑自行车的人时离自行车还有s0=8m远。汽车司机立即刹车让汽车开始做匀减速直线运动,加速度大小为a=2m/s2, 试判断骑自行车的人是否安全?(   )

A. 不安全      B. 安全     C. 有惊无险     D.无法判断

 

【答案】

A

【解析】

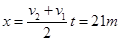
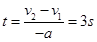
试题分析:据题意,车速为v1=10m/s做匀速直线运动,自行车速度为v2=4m/s,也做匀速直线运动,当汽车做匀减速运动后,要保证汽车不撞到自行车,在汽车即将追上自行车是两车速度相等,这个过程所用时间为:,这段时间内有:自行车位移与原来两车距离之和小于汽车在该段时间内的位移,故不安全。A选项正确。

考点:本题考查追击相遇问题。

 

练习册系列答案
相关题目

违法和不良信息举报电话:027-86699610 举报邮箱:58377363@163.com

精英家教网