ÌâÄ¿ÄÚÈÝ
ΪÁ˶ԻðÐǼ°ÆäÖÜΧµÄ¿Õ¼ä»·¾³½øÐÐ̽²â£¬ÎÒ¹úÔ¤¼ÆÓÚ2011Äê10Ô·¢ÉäµÚÒ»¿Å»ðÐÇ̽²âÆ÷¡°Ó©»ðÒ»ºÅ¡±£®¼ÙÉè̽²âÆ÷ÔÚÀë»ðÐDZíÃæ¸ß¶È·Ö±ðΪh1ºÍh2µÄÔ²¹ìµÀÉÏÔ˶¯Ê±£¬ÖÜÆÚ·Ö±ðΪT1ºÍT2£®»ðÐÇ¿ÉÊÓΪÖÊÁ¿·Ö²¼¾ùÔȵÄÇòÌ壬ÇÒºöÂÔ»ðÐǵÄ×ÔתӰÏ죬ÍòÓÐÒýÁ¦³£Á¿ÎªG£®½öÀûÓÃÒÔÉÏÊý¾Ý£¬¿ÉÒÔ¼ÆËã³ö£¨ £©A£®»ðÐǵÄÃܶȺͻðÐDZíÃæµÄÖØÁ¦¼ÓËÙ¶È
B£®»ðÐǵÄÖÊÁ¿ºÍ»ðÐǶԡ°Ó©»ðÒ»ºÅ¡±µÄÒýÁ¦
C£®»ðÐǵİ뾶ºÍ¡°Ó©»ðÒ»ºÅ¡±µÄÖÊÁ¿
D£®»ðÐDZíÃæµÄÖØÁ¦¼ÓËٶȺͻðÐǶԡ°Ó©»ðÒ»ºÅ¡±µÄÒýÁ¦
¡¾´ð°¸¡¿·ÖÎö£º¸ù¾ÝÍòÓÐÒýÁ¦Ìṩ̽²âÆ÷×öÔ²ÖÜÔ˶¯µÄÏòÐÄÁ¦£¬ÁгöµÈʽ£®
¸ù¾ÝÃܶȹ«Ê½Çó³öÃܶȣ®
ÔËÓÃÍòÓÐÒýÁ¦µÈÓÚÖØÁ¦±íʾ³ö»ðÐDZíÃæµÄÖØÁ¦¼ÓËÙ¶È£®
½â´ð£º½â£ºA¡¢ÓÉÓÚÍòÓÐÒýÁ¦Ìṩ̽²âÆ÷×öÔ²ÖÜÔ˶¯µÄÏòÐÄÁ¦£¬ÔòÓУº
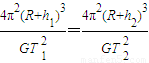
£»
£¬
¿ÉÇóµÃ»ðÐǵÄÖÊÁ¿M=
ºÍ»ðÐǵİ뾶
£¬
¸ù¾ÝÃܶȹ«Ê½µÃ£º¦Ñ=
£®
ÔÚ»ðÐDZíÃæµÄÎïÌåÓÐ
=mg£¬
¿ÉµÃ»ðÐDZíÃæµÄÖØÁ¦¼ÓËÙ¶Èg=
£¬¹ÊAÕýÈ·£®
B¡¢´ÓAÑ¡Ïî·ÖÎöÖªµÀ¿ÉÒÔÇó³ö»ðÐǵÄÖÊÁ¿£¬ÓÉÓÚ²»ÖªµÀ¡°Ó©»ðÒ»ºÅ¡±µÄÖÊÁ¿£¬ËùÒÔ²»ÄÜÇó³ö»ðÐǶԡ°Ó©»ðÒ»ºÅ¡±µÄÒýÁ¦£¬¹ÊB´íÎó£®
C¡¢´ÓAÑ¡Ïî·ÖÎöÖªµÀ¿ÉÒÔÇó³ö»ðÐǵÄÖʰ뾶£¬²»ÄÜÇó³ö¡°Ó©»ðÒ»ºÅ¡±µÄÖÊÁ¿£¬¹ÊC´íÎó£®
D¡¢´ÓAÑ¡Ïî·ÖÎöÖªµÀ¿ÉÒÔÇó³ö»ðÐǵıíÃæµÄÖØÁ¦¼ÓËÙ¶È£¬ÓÉÓÚ²»ÖªµÀ¡°Ó©»ðÒ»ºÅ¡±µÄÖÊÁ¿£¬ËùÒÔ²»ÄÜÇó³ö»ðÐǶԡ°Ó©»ðÒ»ºÅ¡±µÄÒýÁ¦£¬¹ÊD´íÎó£®
¹ÊÑ¡A£®
µãÆÀ£º±¾ÌâÒÔ¡°Ó©»ðÒ»ºÅ¡±»ðÐÇ̽²âÆ÷Ϊ±³¾°²ÄÁÏ£¬ÌåÏÖÁËÏÖ´úº½Ìì¼¼ÊõʼÖÕÊǸ߿¼µÄÒ»¸öÈȵ㣮Ö÷Òª¿¼²é¶ÔÍòÓÐÒýÁ¦¶¨ÂÉ¡¢Å£¶ÙµÚ¶þ¶¨ÂÉ¡¢ÔÈËÙÔ²ÖÜÔ˶¯µÈ֪ʶµãµÄ×ÛºÏÔËÓÃÄÜÁ¦£®
ÏòÐÄÁ¦µÄ¹«Ê½Ñ¡È¡Òª¸ù¾ÝÌâÄ¿ÌṩµÄÒÑÖªÎïÀíÁ¿»òËùÇó½âµÄÎïÀíÁ¿Ñ¡È¡Ó¦Óã®
ÒªÇó½âÒ»¸öÎïÀíÁ¿´óС£¬ÎÒÃÇÓ¦¸Ã°ÑÕâ¸öÎïÀíÁ¿Ïȱíʾ³öÀ´£¬ÔÙ¸ù¾ÝÒÑÖªÁ¿½øÐÐÅжϣ®
¸ù¾ÝÃܶȹ«Ê½Çó³öÃܶȣ®
ÔËÓÃÍòÓÐÒýÁ¦µÈÓÚÖØÁ¦±íʾ³ö»ðÐDZíÃæµÄÖØÁ¦¼ÓËÙ¶È£®
½â´ð£º½â£ºA¡¢ÓÉÓÚÍòÓÐÒýÁ¦Ìṩ̽²âÆ÷×öÔ²ÖÜÔ˶¯µÄÏòÐÄÁ¦£¬ÔòÓУº
¿ÉÇóµÃ»ðÐǵÄÖÊÁ¿M=
¸ù¾ÝÃܶȹ«Ê½µÃ£º¦Ñ=
ÔÚ»ðÐDZíÃæµÄÎïÌåÓÐ
¿ÉµÃ»ðÐDZíÃæµÄÖØÁ¦¼ÓËÙ¶Èg=
B¡¢´ÓAÑ¡Ïî·ÖÎöÖªµÀ¿ÉÒÔÇó³ö»ðÐǵÄÖÊÁ¿£¬ÓÉÓÚ²»ÖªµÀ¡°Ó©»ðÒ»ºÅ¡±µÄÖÊÁ¿£¬ËùÒÔ²»ÄÜÇó³ö»ðÐǶԡ°Ó©»ðÒ»ºÅ¡±µÄÒýÁ¦£¬¹ÊB´íÎó£®
C¡¢´ÓAÑ¡Ïî·ÖÎöÖªµÀ¿ÉÒÔÇó³ö»ðÐǵÄÖʰ뾶£¬²»ÄÜÇó³ö¡°Ó©»ðÒ»ºÅ¡±µÄÖÊÁ¿£¬¹ÊC´íÎó£®
D¡¢´ÓAÑ¡Ïî·ÖÎöÖªµÀ¿ÉÒÔÇó³ö»ðÐǵıíÃæµÄÖØÁ¦¼ÓËÙ¶È£¬ÓÉÓÚ²»ÖªµÀ¡°Ó©»ðÒ»ºÅ¡±µÄÖÊÁ¿£¬ËùÒÔ²»ÄÜÇó³ö»ðÐǶԡ°Ó©»ðÒ»ºÅ¡±µÄÒýÁ¦£¬¹ÊD´íÎó£®
¹ÊÑ¡A£®
µãÆÀ£º±¾ÌâÒÔ¡°Ó©»ðÒ»ºÅ¡±»ðÐÇ̽²âÆ÷Ϊ±³¾°²ÄÁÏ£¬ÌåÏÖÁËÏÖ´úº½Ìì¼¼ÊõʼÖÕÊǸ߿¼µÄÒ»¸öÈȵ㣮Ö÷Òª¿¼²é¶ÔÍòÓÐÒýÁ¦¶¨ÂÉ¡¢Å£¶ÙµÚ¶þ¶¨ÂÉ¡¢ÔÈËÙÔ²ÖÜÔ˶¯µÈ֪ʶµãµÄ×ÛºÏÔËÓÃÄÜÁ¦£®
ÏòÐÄÁ¦µÄ¹«Ê½Ñ¡È¡Òª¸ù¾ÝÌâÄ¿ÌṩµÄÒÑÖªÎïÀíÁ¿»òËùÇó½âµÄÎïÀíÁ¿Ñ¡È¡Ó¦Óã®
ÒªÇó½âÒ»¸öÎïÀíÁ¿´óС£¬ÎÒÃÇÓ¦¸Ã°ÑÕâ¸öÎïÀíÁ¿Ïȱíʾ³öÀ´£¬ÔÙ¸ù¾ÝÒÑÖªÁ¿½øÐÐÅжϣ®
Á·Ï°²áϵÁдð°¸
Ïà¹ØÌâÄ¿
ΪÁ˶ԻðÐǼ°ÆäÖÜΧµÄ¿Õ¼ä»·¾³½øÐÐ̽²â£¬ÎÒ¹úÔ¤¼ÆÓÚ2011Äê10Ô·¢ÉäµÚÒ»¿Å»ðÐÇ̽²âÆ÷¡°Ó©»ðÒ»ºÅ¡±£®¼ÙÉè̽²âÆ÷ÔÚ»ðÐÇÉÏ¿ÕÒ԰뾶ΪRµÄÔ²¹ìµÀÉÏÔ˶¯Ê±£¬ÖÜÆÚΪT£®»ðÐÇ¿ÉÊÓΪÖÊÁ¿·Ö²¼¾ùÔȵÄÇòÌ壬ÇÒºöÂÔ»ðÐǵÄ×ÔתӰÏ죬ÒýÁ¦³£Á¿ÎªG£®½öÀûÓÃÒÔÉÏÊý¾Ý£¬¿ÉÒÔ¼ÆËã³ö£¨¡¡¡¡£©
| A¡¢»ðÐǵÄÃÜ¶È | B¡¢»ðÐǵÄÖÊÁ¿ | C¡¢¡°Ó©»ðÒ»ºÅ¡±µÄÖÊÁ¿ | D¡¢»ðÐǶԡ°Ó©»ðÒ»ºÅ¡±µÄÒýÁ¦ |