题目内容

“嫦娥一号”探月卫星与稍早前日本的“月亮女神号”探月卫星不同,“嫦娥一号”卫星是在绕月极地轨道上运动的,加上月球的自转,因而“嫦娥一号”卫星能探测到整个月球的表面.12月11日“嫦娥一号”卫星CCD相机已对月球背面进行成像探测,并获取了月球背面部分区域的影像图.卫星在绕月极地轨道上做圆周运动时距月球表面高为H,绕行的周期为TM;月球绕地公转的周期为TE,半径为R0.地球半径为RE,月球半径为RM.试解答下列问题:(1)若忽略地球及太阳引力对绕月卫星的影响,试求月球与地球质量之比;

(2)当绕月极地轨道的平面与月球绕地公转的轨道平面垂直,也与地心到月心的连线垂直(如图所示).此时探月卫星向地球发送所拍摄的照片,此照片由探月卫星传送到地球最少需要多长时间?已知光速为C.

答案:
解析:

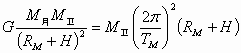
  (1)由牛顿第二定律得  (2分)

  万有引力定律公式为:  (2分)

  月球绕地公转时由万有引力提供向心力,故 ① (2分)

  同理,探月卫星绕月运动时有:  ②  (2分)

  由①②两式联立解得:  (2分)

  (2)设探月极地轨道上卫星到地心的距离为L0,则卫星到地面的最短距离为

  由几何知识得:  (3分)

  故将照片发回地面的时间  (3分)


练习册系列答案
相关题目

违法和不良信息举报电话:027-86699610 举报邮箱:58377363@163.com

精英家教网