题目内容

斧的纵截面可看成一个等腰三角形,两侧面的夹角为2θ,设斧劈木头时竖直向下的作用力为F,求斧的两个侧面对木头的压力.

答案:略
解析:

斧对木头竖直向下的作用力为F,这个力的作用效果是使斧对两侧的木头产生压力,因此,这个力在垂直于两侧面方向上的分力就等于斧的侧面对木头的压力,如图所示.

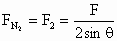
由平行四边形定则和对称性可得,由于,故得

本题新在利用对称性,转化成直角三角形,根据边角关系求解.


练习册系列答案
相关题目

违法和不良信息举报电话:027-86699610 举报邮箱:58377363@163.com

精英家教网