题目内容

(8分)某实验小组利用如图甲所示的气垫导轨实验装置来探究合力一定时,物体的加速度与质量之间的关系。

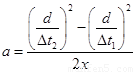
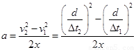
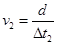
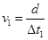
(1)做实验时,将滑块从图甲所示位置由静止释放,由数字计时器(图中未画出)可读出遮光条通过光电门1、2的时间分别为Δt1、Δt2;用刻度尺测得两个光电门中心之间的距离x,用游标卡尺测得遮光条宽度d。则滑块经过光电门1时的速度表达式v1=  ;经过光电门2时的速度表达式v2 =    ,滑块加速度的表达式a=    。(以上表达式均用已知字母表示)。如图乙所示,若用20分度的游标卡尺测量遮光条的宽度,其读数为    mm。

(2) 为了保持滑块所受的合力不变,可改变滑块质量M和气垫导轨右端高度h(见图甲)。关于“改变滑块质量M和气垫导轨右端高度h”的正确操作方法是        

A.M增大时,h增大,以保持二者乘积增大

B.M增大时,h减小,以保持二者乘积不变

C.M减小时,h增大,以保持二者乘积不变

D.M减小时,h减小,以保持二者乘积减小

 

【答案】

(1);8.15mm  (2)BC

【解析】

试题分析:(1)由于运动时间较短,故经过光电门的平均速度近视为瞬时速度,所以滑块经过光电门1时的速度表达式,经过光电门2时的速度表达式;加速度游标卡尺的读数由主尺和游标尺两部分组成.读数为8.15mm;

(2)滑块的合力,为了保持滑块所受的合力不变,所以M和h 不能同时增大或减小.故选BC.

考点:本题考查探究物体的加速度与质量、合外力的关系。

 

练习册系列答案
相关题目

违法和不良信息举报电话:027-86699610 举报邮箱:58377363@163.com

精英家教网