题目内容
如图所示,甲、乙两同学从河中O点出发,分别沿直线游到A点和B点后,立即沿原路线返回到O点,OA、OB分别与水流方向平行和垂直,且OA=OB.若水流速度不变,两人在靜水中游速相等,则他们所用时间t甲、t乙的大小关系为( )A.t甲<t乙
B.t甲=t乙
C.t甲>t乙
D.无法确定
【答案】分析:甲、乙两同学实际的速度是静水中的流速与水流速度的合速度,设游速为v,水速为v根据速度合成可知:甲游到A点的速度为v+v,游回的速度为v-v;乙来回的速度都为
.明确了各自的合速度后,再用匀速直线运动规律求出时间进行比较.
解答:
解:设游速为v,水速为v,OA=OB=l,
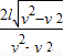
则甲整个过程所用时间:
=
,
乙为了沿OB运动,速度合成如图:
则乙整个过程所用时间:
=
,∵
∴t甲>t乙,∴选C正确,选项A、B、D错误.
故选:C.
点评:本题考查运动的合成(主要是速度的合成)和匀速运动规律,运用速度合成的矢量平行四边形法则求出各自的合速度是关键.
解答:
则甲整个过程所用时间:
乙为了沿OB运动,速度合成如图:
则乙整个过程所用时间:
故选:C.
点评:本题考查运动的合成(主要是速度的合成)和匀速运动规律,运用速度合成的矢量平行四边形法则求出各自的合速度是关键.
练习册系列答案
相关题目
| A、甲、乙两物体始终同向运动 | B、4 s时甲、乙两物体之间的距离最大 | C、甲的平均速度大于乙的平均速度 | D、甲、乙两物体之间的最大距离为3 m |