题目内容

一辆质量为4t的汽车驶过一半径为50m的凸形桥面时,始终保持5m/s的速率,汽车所受的阻力为车与桥面压力的0.05倍,通过桥的最高点时汽车的牵引力是多大?

答案:1900N
解析:

对汽车在拱桥的最高点受力分析如图所示,由于车速不变,所以在运动方向上有

汽车在桥的最高点时,车的重力和桥对车的支持力的合力是使汽车做圆周运动的向心力,方向竖直向下,根据牛顿第二定律有

由题意知

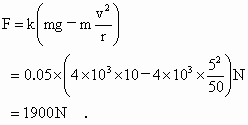
联立以上三式解得

  首先对汽车在桥的最高点进行受力分析,然后根据汽车在切线方向匀速过桥和半径方向上做圆周运动的特点,找出上述两个方向上力的关系即可求解.

  本题是竖直平面内的圆周运动问题,这类问题较为复杂,要求掌握在最高点和最低点的向心力计算,正确分析物体的受力情况和运动情况仍然是解答本题的关键.若物体做的是变速圆周运动,向心力和向心加速度公式仍适用,求物体在某点的向心力大小时必须用该点的瞬时速度值.


练习册系列答案
相关题目

违法和不良信息举报电话:027-86699610 举报邮箱:58377363@163.com

精英家教网