题目内容
做匀速圆周运动的物体,10s内沿半径是20m的圆周运动了100m,则下列说法中正确的是
A. 线速度大小是10m/s B. 角速度大小是10rad/s
C. 物体的运动周期是2s D.
向心加速度的大小是2m/s![]()
【答案】
A
【解析】
试题分析:线速度是单位时间内通过的圆弧长度,
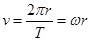
,答案A对。角速度是单位时间通过的圆心角的弧度数。如果周期是T,那么就有通过圆弧长为周长
,圆心角
。
,
,带入线速度和半径可得
答案B错。
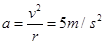
,C错。向心加速度
答案D错。
考点:描述圆周运动的物理量
练习册系列答案
相关题目
下列关于圆周运动的说法正确的是( )
| A、做匀速圆周运动的物体,所受的合外力大小不变 | B、做圆周运动物体的加速度只改变线速度的方向 | C、做圆周运动的物体所受合外力一定与其速度方向垂直 | D、做匀速圆周运动物体的加速度是恒定的 |
下列关于机械能是否守恒的叙述正确的是( )
| A、做匀速直线运动的物体,机械能一定守恒 | B、做匀变速直线运动的物体,机械能一定守恒 | C、做匀变速曲线运动的物体,机械能一定不守恒 | D、做匀速圆周运动的物体,机械能不一定守恒 |