题目内容

电动机M和电灯L并联之后接在直流电源上,电动机内阻=1 Ω,电灯灯丝电阻R=10 Ω,电源电动势ε=12 V,内阻r=1 Ω,当电压表读数为10 V时,求电动机对外输出的机械功率.

答案:
解析:

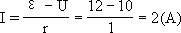
  正确解答:根据题意画出电路图,如图所示.由全电路欧姆定律ε=U+Ir得出干路电流

  

  由已知条件可知:流过灯泡的电流

  

  

  电动机的输出功率的另一种求法:以全电路为研究对象,从能量转化和守恒的观点出发P=P.本题中电路中消耗电能的有:内电阻、灯泡和电动机,电动机消耗的电能又可分为电动机输出的机械能和电动机自身消耗的内能.即Iε=I2r+IL2R+Pm出+IM2

  Pm出=Iε-(I2r+IL2R++IM2)=9(W)

  小结:站在能量转化与守恒的高度看电路各个部分的作用.就可以从全局的角度把握一道题的解题思路,就能比较清醒地分清公式规律的适用范围和条件.


练习册系列答案
相关题目

违法和不良信息举报电话:027-86699610 举报邮箱:58377363@163.com

精英家教网