题目内容

(18分)如图所示,长为L的不可伸长的绳子一端固定在O点,另一端系质量为m的小球,小球静止在光滑水平面上。现用大小为F水平恒力作用在另一质量为2m的物块上,使其从静止开始向右运动,一段时间后撤去该力,物块与小球发生正碰后速度大小变为原来的一半而速度方向不变,小球恰好能在竖直平面内做圆周运动。已知重力加速度为,小球和物体均可视为质点,试求:

(1)小物块碰撞前速度的大小;

(2)恒力F作用时间。

 

【答案】

   (1)    (2)

【解析】

试题分析:(1)小球恰好通过最高点作圆周运动,此时重力刚好提供向心力,设速度为

有:,即

设小球碰撞后速度为,其后在摆至最高点过程中,机械能守恒:

联立可得:

 碰撞过程中,物块和小球的系统动量守恒,有:

代入值可得: 

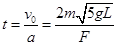
(3)小球在水平面运动的加速度 

由速度公式得:  

力F作用时间为 

考点:本题考查了圆周运动规律、机械能守恒定律、动量守恒定律运动学公式。

 

练习册系列答案
相关题目

违法和不良信息举报电话:027-86699610 举报邮箱:58377363@163.com

精英家教网