题目内容

如图所示,两块平行金属板MN间的距离为d,两板间电压u随时间t变化的规律如图所示电压的绝对值为U0t=0时刻M板的电势比N板低.在t=0时刻有一个电子从M板处无初速释放,经过1.5个周期刚好到达N板.电子的电荷量为e,质量为m.求:

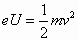
(1)该电子到达N板时的速率v

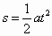
(2)在1.25个周期末该电子和N板间的距离s

答案:
解析:

  解:(1)由题意知,电子在第一、三个T/2内向右做初速为零的匀加速运动,第二个T/2内向右做末速为零的匀减速运动.由知,这三段时间内电子的位移是相同的.

  在第三个T/2内对电子用动能定理:,其中UU0/3,得

  (2)在第三个T/2初,电子的位置离Nd/3,在第三个T/2内,电子做初速为零的匀加速运动,总位移是d/3,前一半时间内的位移是该位移的1/4,为d/12,因此这时离Ds=d/3-d/4.


练习册系列答案
相关题目

违法和不良信息举报电话:027-86699610 举报邮箱:58377363@163.com

精英家教网